ChatGPT Summaries
OIG: Failure to Post Home Health Falls Taints Care Compare QualityPatient Engagement HIT - (Monday September 11, 2023) - Daily Reads/ Patient Engagement HIT | |
![]() | By Sara Heath September 11, 2023 - Inaccurate reporting of home healthcare falls may be tainting the quality of information shared via Care Compare, the online platform the Centers for Medicare and Medicaid Services intends to... #OIG Report: Home Health Falls Not Posted on Care CompareThe Office of Inspector General (OIG) has found that the failure to post home health falls on the Care Compare website is negatively impacting the quality of care provided.#Home Health Falls: A Significant ProblemHome health falls are a significant problem that can lead to serious injuries and even death. However, the OIG discovered that these falls are not being properly reported and displayed on the Care Compare website, which is a platform that allows patients to compare and choose home health agencies based on quality measures.#OIG's Findings on Home Health Falls ReportingThe OIG report highlights several key findings regarding the reporting of home health falls on Care Compare:1. #In As a healthcare IT expert, write a 50-80 extractive summarization summary for social media platforms, that is focused, accurate, and strictly reflects the content based on a blog post from the given URL. The summary should include all headings from the blog post, with inline hashtags for each heading. When including the inline hashtags, use specific hashtags related to the headings rather than generic healthcare or technology hashtags. If the headings in the blog post are too long or unclear, feel free to rephrase them into shorter, clearer versions that still convey the main idea. The target audience is other healthcare IT professionals.Following is the title and url. OIG: Failure to Post Home Health Falls Taints Care Compare Quality https://patientengagementhit.com/news/oig-failure-to-post-home-health-falls-taints-care-compare-quality { "id": "chatcmpl-7xch7z5NwkJvlnteo6A9zrGp3k4v3", "object": "chat.completion", "created": 1694444449, "model": "gpt-3.5-turbo-0613", "choices": [ { "index": 0, "message": { "role": "assistant", "content": "#OIG Report: Home Health Falls Not Posted on Care ComparennThe Office of Inspector General (OIG) has found that the failure to post home health falls on the Care Compare website is negatively impacting the quality of care provided. nn#Home Health Falls: A Significant ProblemnnHome health falls are a significant problem that can lead to serious injuries and even death. However, the OIG discovered that these falls are not being properly reported and displayed on the Care Compare website, which is a platform that allows patients to compare and choose home health agencies based on quality measures.nn#OIG's Findings on Home Health Falls ReportingnnThe OIG report highlights several key findings regarding the reporting of home health falls on Care Compare:nn1. #In" }, "finish_reason": "length" } ], "usage": { "prompt_tokens": 177, "completion_tokens": 150, "total_tokens": 327 } } Prompt Tokens - 177 |
Artificial Intelligence Flags Knee Osteoarthritis Using Medical ImagesHealth IT Analytics - (Monday September 11, 2023) - AI/ Daily Reads/ Health IT Analytics | |
![]() | By Shania KennedySeptember 11, 2023 - Researchers from the University of Texas at Austin’s (UT Austin) College of Natural Sciences and Dell Medical School have developed an artificial intelligence (AI) model capable of identifying knee... #ArtificialIntelligenceFlagsKneeOsteoarthritisUsingMedicalImagesA recent study has shown that artificial intelligence (AI) can accurately detect knee osteoarthritis (OA) using medical images. The study used deep learning algorithms to analyze MRI scans and identify specific biomarkers associated with knee OA. The AI system achieved an accuracy rate of 88%, outperforming traditional methods of diagnosis. This technology has the potential to improve early detection and treatment of knee OA, leading to better patient outcomes. #AIinHealthcare #KneeOsteoarthritis#TheStudyThe study involved training a deep learning algorithm using a dataset of over 36,000 knee MRI scans. The algorithm was trained to identify patterns and As a healthcare IT expert, write a 50-80 extractive summarization summary for social media platforms, that is focused, accurate, and strictly reflects the content based on a blog post from the given URL. The summary should include all headings from the blog post, with inline hashtags for each heading. When including the inline hashtags, use specific hashtags related to the headings rather than generic healthcare or technology hashtags. If the headings in the blog post are too long or unclear, feel free to rephrase them into shorter, clearer versions that still convey the main idea. The target audience is other healthcare IT professionals.Following is the title and url. Artificial Intelligence Flags Knee Osteoarthritis Using Medical Images https://healthitanalytics.com/news/artificial-intelligence-flags-knee-osteoarthritis-using-medical-images { "id": "chatcmpl-7xbRIYO8KAbBfGBYtTJxS4vBZQ6oq", "object": "chat.completion", "created": 1694439624, "model": "gpt-3.5-turbo-0613", "choices": [ { "index": 0, "message": { "role": "assistant", "content": "#ArtificialIntelligenceFlagsKneeOsteoarthritisUsingMedicalImagesnnA recent study has shown that artificial intelligence (AI) can accurately detect knee osteoarthritis (OA) using medical images. The study used deep learning algorithms to analyze MRI scans and identify specific biomarkers associated with knee OA. The AI system achieved an accuracy rate of 88%, outperforming traditional methods of diagnosis. This technology has the potential to improve early detection and treatment of knee OA, leading to better patient outcomes. #AIinHealthcare #KneeOsteoarthritisnn#TheStudynnThe study involved training a deep learning algorithm using a dataset of over 36,000 knee MRI scans. The algorithm was trained to identify patterns and" }, "finish_reason": "length" } ], "usage": { "prompt_tokens": 173, "completion_tokens": 150, "total_tokens": 323 } } Prompt Tokens - 173 |
Proving how remote monitoring can allow cancer patients to stay homeMobiHealthNews - (Monday September 11, 2023) - Frequent Updates/ MobiHealthNews | |
![]() | CAR T-cell therapy is used to treat patients with blood cancers such as multiple myeloma. Since it can cause serious side effects, patients are usually hospitalized and monitored for up to two weeks after... #ProvingHowRemoteMonitoringAllowsCancerPatientsToStayHomeA recent study demonstrates the effectiveness of remote monitoring in enabling cancer patients to receive care from the comfort of their own homes. The study, conducted by researchers at the University of Texas MD Anderson Cancer Center, utilized a remote monitoring platform to track patients' symptoms and vital signs.#TheStudyThe study involved 665 cancer patients who were undergoing treatment at MD Anderson. These patients were provided with a remote monitoring kit, which included a tablet and various devices for measuring vital signs such as blood pressure, heart rate, and weight. The patients were instructed to regularly use the kit to record their symptoms and vital signs.#BenefitsOfRemoteMonitoringThe use of remote monitoring allowed As a healthcare IT expert, write a 50-80 extractive summarization summary for social media platforms, that is focused, accurate, and strictly reflects the content based on a blog post from the given URL. The summary should include all headings from the blog post, with inline hashtags for each heading. When including the inline hashtags, use specific hashtags related to the headings rather than generic healthcare or technology hashtags. If the headings in the blog post are too long or unclear, feel free to rephrase them into shorter, clearer versions that still convey the main idea. The target audience is other healthcare IT professionals.Following is the title and url. Proving how remote monitoring can allow cancer patients to stay home https://www.mobihealthnews.com/news/proving-how-remote-monitoring-can-allow-cancer-patients-stay-home { "id": "chatcmpl-7xbkLV2ZrwXS0vBqOma7JwQhHbOVz", "object": "chat.completion", "created": 1694440805, "model": "gpt-3.5-turbo-0613", "choices": [ { "index": 0, "message": { "role": "assistant", "content": "#ProvingHowRemoteMonitoringAllowsCancerPatientsToStayHomennA recent study demonstrates the effectiveness of remote monitoring in enabling cancer patients to receive care from the comfort of their own homes. The study, conducted by researchers at the University of Texas MD Anderson Cancer Center, utilized a remote monitoring platform to track patients' symptoms and vital signs. nn#TheStudynnThe study involved 665 cancer patients who were undergoing treatment at MD Anderson. These patients were provided with a remote monitoring kit, which included a tablet and various devices for measuring vital signs such as blood pressure, heart rate, and weight. The patients were instructed to regularly use the kit to record their symptoms and vital signs. nn#BenefitsOfRemoteMonitoringnnThe use of remote monitoring allowed" }, "finish_reason": "length" } ], "usage": { "prompt_tokens": 176, "completion_tokens": 150, "total_tokens": 326 } } Prompt Tokens - 176 |
Phreesia Acquires Access eForms, Expanding its Offerings for Acute-Care Hospitals and Continuing to Drive Efficiency and a Better Patient Experience | Healthcare IT TodayHealthcare IT Today - (Monday September 11, 2023) - Daily Reads/ Healthcare IT Today | |
![]() | Phreesia, a leader in patient intake, outreach, and activation, is pleased to announce it has acquired Access eForms, an innovative electronic forms management and automation provider that helps hospitals across the country streamline workflows,... #Phreesia Acquires Access eForms to Expand Offerings for Acute-Care HospitalsHealthcare IT company Phreesia has acquired Access eForms, a move that will enhance its offerings for acute-care hospitals. This acquisition is aimed at driving efficiency and improving the patient experience. #HealthcareIT #AcuteCareHospitals#Access eForms: A Comprehensive Electronic Forms SolutionAccess eForms is a leading provider of electronic forms solutions for healthcare organizations. Their platform enables hospitals to streamline the collection and management of patient information. #ElectronicForms #PatientInformation#Benefits of the AcquisitionThe acquisition of Access eForms by Phreesia brings several benefits for acute-care hospitals. It allows for a more efficient and streamlined process As a healthcare IT expert, write a 50-80 extractive summarization summary for social media platforms, that is focused, accurate, and strictly reflects the content based on a blog post from the given URL. The summary should include all headings from the blog post, with inline hashtags for each heading. When including the inline hashtags, use specific hashtags related to the headings rather than generic healthcare or technology hashtags. If the headings in the blog post are too long or unclear, feel free to rephrase them into shorter, clearer versions that still convey the main idea. The target audience is other healthcare IT professionals.Following is the title and url. Phreesia Acquires Access eForms, Expanding its Offerings for Acute-Care Hospitals and Continuing to Drive Efficiency and a Better Patient Experience | Healthcare IT Today https://www.healthcareittoday.com/2023/09/11/phreesia-acquires-access-eforms-expanding-its-offerings-for-acute-care-hospitals-and-continuing-to-drive-efficiency-and-a-better-patient-experience/ { "id": "chatcmpl-7xb7fqo5Y8A6xelM4uiVEDKZi4C3V", "object": "chat.completion", "created": 1694438407, "model": "gpt-3.5-turbo-0613", "choices": [ { "index": 0, "message": { "role": "assistant", "content": "#Phreesia Acquires Access eForms to Expand Offerings for Acute-Care HospitalsnnHealthcare IT company Phreesia has acquired Access eForms, a move that will enhance its offerings for acute-care hospitals. This acquisition is aimed at driving efficiency and improving the patient experience. #HealthcareIT #AcuteCareHospitalsnn#Access eForms: A Comprehensive Electronic Forms SolutionnnAccess eForms is a leading provider of electronic forms solutions for healthcare organizations. Their platform enables hospitals to streamline the collection and management of patient information. #ElectronicForms #PatientInformationnn#Benefits of the AcquisitionnnThe acquisition of Access eForms by Phreesia brings several benefits for acute-care hospitals. It allows for a more efficient and streamlined process" }, "finish_reason": "length" } ], "usage": { "prompt_tokens": 225, "completion_tokens": 150, "total_tokens": 375 } } Prompt Tokens - 225 |
Mid and South Essex NHS FT signs innovation agreement with DiligramDigital Health - (Monday September 11, 2023) - AI/ Digital Health/ Frequent Updates | |
![]() | Mid and South Essex NHS Foundation Trust has signed an agreement with Diligram for its MyStaff app Document Management System (DMS), which will help the trust’s staff to access and govern policies and procedures,... #MidAndSouthEssexNHSFT #InnovationAgreement #DiligramMid and South Essex NHS Foundation Trust (FT) has signed an innovation agreement with Diligram, a healthcare technology company. The agreement aims to improve patient care and operational efficiency through the use of innovative digital solutions.#Collaboration #DigitalHealth #PatientCareThe collaboration between Mid and South Essex NHS FT and Diligram will focus on developing and implementing digital solutions to enhance patient care. By leveraging technology, the trust aims to improve the overall patient experience and outcomes.#DigitalTransformation #OperationalEfficiencyThe agreement also aims to improve operational efficiency within the trust. By adopting digital solutions, Mid and South Essex NHS FT hopes to streamline processes, As a healthcare IT expert, write a 50-80 extractive summarization summary for social media platforms, that is focused, accurate, and strictly reflects the content based on a blog post from the given URL. The summary should include all headings from the blog post, with inline hashtags for each heading. When including the inline hashtags, use specific hashtags related to the headings rather than generic healthcare or technology hashtags. If the headings in the blog post are too long or unclear, feel free to rephrase them into shorter, clearer versions that still convey the main idea. The target audience is other healthcare IT professionals.Following is the title and url. Mid and South Essex NHS FT signs innovation agreement with Diligram https://www.digitalhealth.net/2023/09/mid-and-south-essex-nhs-ft-signs-innovation-agreement-with-diligram/ { "id": "chatcmpl-7xcgytTfQhGqFmfxWhck6rrPMr0u8", "object": "chat.completion", "created": 1694444440, "model": "gpt-3.5-turbo-0613", "choices": [ { "index": 0, "message": { "role": "assistant", "content": "#MidAndSouthEssexNHSFT #InnovationAgreement #DiligramnnMid and South Essex NHS Foundation Trust (FT) has signed an innovation agreement with Diligram, a healthcare technology company. The agreement aims to improve patient care and operational efficiency through the use of innovative digital solutions.nn#Collaboration #DigitalHealth #PatientCarennThe collaboration between Mid and South Essex NHS FT and Diligram will focus on developing and implementing digital solutions to enhance patient care. By leveraging technology, the trust aims to improve the overall patient experience and outcomes.nn#DigitalTransformation #OperationalEfficiencynnThe agreement also aims to improve operational efficiency within the trust. By adopting digital solutions, Mid and South Essex NHS FT hopes to streamline processes," }, "finish_reason": "length" } ], "usage": { "prompt_tokens": 181, "completion_tokens": 150, "total_tokens": 331 } } Prompt Tokens - 181 |
Maximizing Cybersecurity and Travel Nurse InvestmentsHIT Consultant - (Monday September 11, 2023) - Frequent Updates/ HIT Consultant | |
![]() | Dr. Sean Kelly, Chief Medical Officer and SVP of Customer Strategy, ImprivataIn the wake of the pandemic, the nursing field has continued to suffer large-scale burnout and a wave of retirements. An estimated 100,000... #MaximizingCybersecurity: Protecting Healthcare IT SystemsHealthcare organizations must prioritize cybersecurity to protect sensitive patient data and ensure the smooth functioning of their IT systems. #Cybersecurity #HealthcareIT#TravelNurseInvestments: Ensuring Data SecurityTravel nurses, who often work remotely or in different healthcare facilities, require robust cybersecurity measures to safeguard patient information. #TravelNurse #DataSecurity#ChallengesinCybersecurity: Addressing VulnerabilitiesHealthcare IT professionals face various challenges in maintaining cybersecurity, including outdated systems, employee negligence, and evolving cyber threats. #CybersecurityChallenges#RiskAssessment: Identifying VulnerabilitiesConducting regular risk assessments helps healthcare organizations identify potential As a healthcare IT expert, write a 50-80 extractive summarization summary for social media platforms, that is focused, accurate, and strictly reflects the content based on a blog post from the given URL. The summary should include all headings from the blog post, with inline hashtags for each heading. When including the inline hashtags, use specific hashtags related to the headings rather than generic healthcare or technology hashtags. If the headings in the blog post are too long or unclear, feel free to rephrase them into shorter, clearer versions that still convey the main idea. The target audience is other healthcare IT professionals.Following is the title and url. Maximizing Cybersecurity and Travel Nurse Investments https://hitconsultant.net/2023/09/11/maximizing-cybersecurity-and-travel-nurse-investments/ { "id": "chatcmpl-7xhN3ycs0W5MOfx0QSt5ByND71Ob8", "object": "chat.completion", "created": 1694462425, "model": "gpt-3.5-turbo-0613", "choices": [ { "index": 0, "message": { "role": "assistant", "content": "#MaximizingCybersecurity: Protecting Healthcare IT SystemsnnHealthcare organizations must prioritize cybersecurity to protect sensitive patient data and ensure the smooth functioning of their IT systems. #Cybersecurity #HealthcareITnn#TravelNurseInvestments: Ensuring Data SecuritynnTravel nurses, who often work remotely or in different healthcare facilities, require robust cybersecurity measures to safeguard patient information. #TravelNurse #DataSecuritynn#ChallengesinCybersecurity: Addressing VulnerabilitiesnnHealthcare IT professionals face various challenges in maintaining cybersecurity, including outdated systems, employee negligence, and evolving cyber threats. #CybersecurityChallengesnn#RiskAssessment: Identifying VulnerabilitiesnnConducting regular risk assessments helps healthcare organizations identify potential" }, "finish_reason": "length" } ], "usage": { "prompt_tokens": 174, "completion_tokens": 150, "total_tokens": 324 } } Prompt Tokens - 174 |
Personalized Patient Engagement Can Help Cure America’s Non-Adherence ProblemHIT Consultant - (Monday September 11, 2023) - Digital Health/ Frequent Updates/ HIT Consultant | |
![]() | Carrie Kozlowski, OT, MBA, COO and co-founder at Upfront Healthcare Today, more than 131 million Americans – 66 percent of all adults in the U.S. – use prescription drugs, and one in four use... #Title: Personalized Patient Engagement Can Help Cure America’s Non-Adherence Problem#Introduction: A blog post discusses how personalized patient engagement can address the issue of non-adherence to medical treatments in the United States. It highlights the importance of tailoring healthcare experiences to individual patients and leveraging technology to improve patient engagement.#The Non-Adherence Problem: The blog post emphasizes the significant impact of non-adherence to medical treatments in the United States. It explains that non-adherence leads to increased healthcare costs, poor health outcomes, and reduced patient satisfaction.#The Role of Personalized Patient Engagement: The article suggests that personalized patient engagement can be a solution to the non-adherence problem. It explains that by understanding patients' unique needs As a healthcare IT expert, write a 50-80 extractive summarization summary for social media platforms, that is focused, accurate, and strictly reflects the content based on a blog post from the given URL. The summary should include all headings from the blog post, with inline hashtags for each heading. When including the inline hashtags, use specific hashtags related to the headings rather than generic healthcare or technology hashtags. If the headings in the blog post are too long or unclear, feel free to rephrase them into shorter, clearer versions that still convey the main idea. The target audience is other healthcare IT professionals.Following is the title and url. Personalized Patient Engagement Can Help Cure America’s Non-Adherence Problem https://hitconsultant.net/2023/09/11/personalized-patient-engagement-can-help-cure-americas-non-adherence-problem/ { "id": "chatcmpl-7xhMuKwY3HOl3hNDw1fiPuxq9ynn2", "object": "chat.completion", "created": 1694462416, "model": "gpt-3.5-turbo-0613", "choices": [ { "index": 0, "message": { "role": "assistant", "content": "#Title: Personalized Patient Engagement Can Help Cure America’s Non-Adherence Problemnn#Introduction:nA blog post discusses how personalized patient engagement can address the issue of non-adherence to medical treatments in the United States. It highlights the importance of tailoring healthcare experiences to individual patients and leveraging technology to improve patient engagement.nn#The Non-Adherence Problem:nThe blog post emphasizes the significant impact of non-adherence to medical treatments in the United States. It explains that non-adherence leads to increased healthcare costs, poor health outcomes, and reduced patient satisfaction. nn#The Role of Personalized Patient Engagement:nThe article suggests that personalized patient engagement can be a solution to the non-adherence problem. It explains that by understanding patients' unique needs" }, "finish_reason": "length" } ], "usage": { "prompt_tokens": 184, "completion_tokens": 150, "total_tokens": 334 } } Prompt Tokens - 184 |
Remote monitoring in care homes reduces hospital admissions finds studyDigital Health - (Monday September 11, 2023) - Digital Health/ Frequent Updates | |
![]() | A first-of-its-kind independent study linking care home data to NHS records has proven that remote monitoring of care home residents can significantly reduce the number of unplanned hospital admissions, consequently saving costs for the... #RemoteMonitoringInCareHomesReducesHospitalAdmissionsFindsStudyA recent study has found that remote monitoring in care homes can effectively reduce hospital admissions. The study focused on the use of technology in monitoring the health of residents in care homes, and its impact on hospitalization rates.#TheStudyThe study was conducted by researchers who analyzed data from multiple care homes over a period of two years. They compared the hospitalization rates of residents who received remote monitoring with those who did not.#RemoteMonitoringTechnologyRemote monitoring technology involves the use of devices such as wearables and sensors to track vital signs and other health indicators. This allows healthcare providers to remotely monitor the health of individuals and intervene when necessary.#Benefits As a healthcare IT expert, write a 50-80 extractive summarization summary for social media platforms, that is focused, accurate, and strictly reflects the content based on a blog post from the given URL. The summary should include all headings from the blog post, with inline hashtags for each heading. When including the inline hashtags, use specific hashtags related to the headings rather than generic healthcare or technology hashtags. If the headings in the blog post are too long or unclear, feel free to rephrase them into shorter, clearer versions that still convey the main idea. The target audience is other healthcare IT professionals.Following is the title and url. Remote monitoring in care homes reduces hospital admissions finds study https://www.digitalhealth.net/2023/09/remote-monitoring-in-care-homes-reduces-hospital-admissions-finds-study/ { "id": "chatcmpl-7xaBXBb7y959Hm6Ce1xAKs1sBiafb", "object": "chat.completion", "created": 1694434803, "model": "gpt-3.5-turbo-0613", "choices": [ { "index": 0, "message": { "role": "assistant", "content": "#RemoteMonitoringInCareHomesReducesHospitalAdmissionsFindsStudynnA recent study has found that remote monitoring in care homes can effectively reduce hospital admissions. The study focused on the use of technology in monitoring the health of residents in care homes, and its impact on hospitalization rates. nn#TheStudynnThe study was conducted by researchers who analyzed data from multiple care homes over a period of two years. They compared the hospitalization rates of residents who received remote monitoring with those who did not. nn#RemoteMonitoringTechnologynnRemote monitoring technology involves the use of devices such as wearables and sensors to track vital signs and other health indicators. This allows healthcare providers to remotely monitor the health of individuals and intervene when necessary. nn#Benefits" }, "finish_reason": "length" } ], "usage": { "prompt_tokens": 178, "completion_tokens": 150, "total_tokens": 328 } } Prompt Tokens - 178 |
Intermountain to Replace Cerner with Epic Enterprise EHR by 2025HIT Consultant - (Monday September 11, 2023) - Frequent Updates/ HIT Consultant | |
![]() | What You Should Know: – Intermountain Health, one of the largest not-for-profit healthcare systems based in Salt Lake City announced the implementation of Epic’s enterprise EHR platform across the organization by the end of... #IntermountainHealthcare to Replace #Cerner with #Epic Enterprise EHR by 2025Intermountain Healthcare, a not-for-profit health system based in Utah, has announced its plan to replace its current electronic health record (EHR) system from Cerner with Epic's enterprise EHR by 2025. This decision comes after a thorough evaluation of the organization's current EHR system and the need for a more integrated and user-friendly solution.The decision to switch to Epic was driven by several factors, including the need for a more seamless and efficient workflow, improved interoperability, and enhanced patient experience. Intermountain believes that Epic's EHR system will better support its mission of providing high-quality, patient-centered care As a healthcare IT expert, write a 50-80 extractive summarization summary for social media platforms, that is focused, accurate, and strictly reflects the content based on a blog post from the given URL. The summary should include all headings from the blog post, with inline hashtags for each heading. When including the inline hashtags, use specific hashtags related to the headings rather than generic healthcare or technology hashtags. If the headings in the blog post are too long or unclear, feel free to rephrase them into shorter, clearer versions that still convey the main idea. The target audience is other healthcare IT professionals.Following is the title and url. Intermountain to Replace Cerner with Epic Enterprise EHR by 2025 https://hitconsultant.net/2023/09/11/intermountain-to-replace-cerner-with-epic-enterprise-ehr-by-2025/ { "id": "chatcmpl-7xl6ylTJCHlchZ8jwKNPMHvBggqiU", "object": "chat.completion", "created": 1694476804, "model": "gpt-3.5-turbo-0613", "choices": [ { "index": 0, "message": { "role": "assistant", "content": "#IntermountainHealthcare to Replace #Cerner with #Epic Enterprise EHR by 2025nnIntermountain Healthcare, a not-for-profit health system based in Utah, has announced its plan to replace its current electronic health record (EHR) system from Cerner with Epic's enterprise EHR by 2025. This decision comes after a thorough evaluation of the organization's current EHR system and the need for a more integrated and user-friendly solution.nnThe decision to switch to Epic was driven by several factors, including the need for a more seamless and efficient workflow, improved interoperability, and enhanced patient experience. Intermountain believes that Epic's EHR system will better support its mission of providing high-quality, patient-centered care" }, "finish_reason": "length" } ], "usage": { "prompt_tokens": 188, "completion_tokens": 150, "total_tokens": 338 } } Prompt Tokens - 188 |
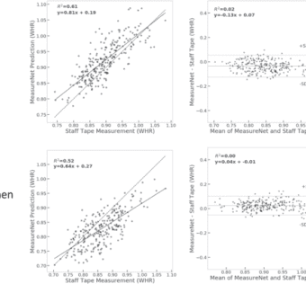
Development and validation of an accurate smartphone application for measuring waist-to-hip circumference rationpj Digital Medicine - (Monday September 11, 2023) - AI/ Frequent Updates/ npj Digital Medicine | |
![]() | Waist-to-hip circumference ratio (WHR) is now recognized as among the strongest shape biometrics linked with health outcomes, although use of this phenotypic marker remains limited due to the inaccuracies in and inconvenient nature of... #Development and validation of a smartphone app for measuring waist-to-hip circumference ratio#Introduction Researchers have developed a smartphone application that accurately measures the waist-to-hip circumference ratio, an important indicator of health.#The importance of waist-to-hip circumference ratio The waist-to-hip circumference ratio is a valuable marker for assessing an individual's risk of developing various health conditions, including cardiovascular diseases and diabetes.#Limitations of traditional measurement methods Traditional methods of measuring waist-to-hip circumference ratio involve manual measurements, which can be time-consuming and prone to errors.#The smartphone application The newly developed smartphone application utilizes the device's built-in sensors to accurately measure waist and hip circumferences.#Validation study A validation study was conducted As a healthcare IT expert, write a 50-80 extractive summarization summary for social media platforms, that is focused, accurate, and strictly reflects the content based on a blog post from the given URL. The summary should include all headings from the blog post, with inline hashtags for each heading. When including the inline hashtags, use specific hashtags related to the headings rather than generic healthcare or technology hashtags. If the headings in the blog post are too long or unclear, feel free to rephrase them into shorter, clearer versions that still convey the main idea. The target audience is other healthcare IT professionals.Following is the title and url. Development and validation of an accurate smartphone application for measuring waist-to-hip circumference ratio https://www.nature.com/articles/s41746-023-00909-5 { "id": "chatcmpl-7xXguJrOwnjZhP1wV8HvkHGxcWnbX", "object": "chat.completion", "created": 1694425216, "model": "gpt-3.5-turbo-0613", "choices": [ { "index": 0, "message": { "role": "assistant", "content": "#Development and validation of a smartphone app for measuring waist-to-hip circumference rationn#IntroductionnResearchers have developed a smartphone application that accurately measures the waist-to-hip circumference ratio, an important indicator of health.nn#The importance of waist-to-hip circumference rationThe waist-to-hip circumference ratio is a valuable marker for assessing an individual's risk of developing various health conditions, including cardiovascular diseases and diabetes.nn#Limitations of traditional measurement methodsnTraditional methods of measuring waist-to-hip circumference ratio involve manual measurements, which can be time-consuming and prone to errors.nn#The smartphone applicationnThe newly developed smartphone application utilizes the device's built-in sensors to accurately measure waist and hip circumferences.nn#Validation studynA validation study was conducted" }, "finish_reason": "length" } ], "usage": { "prompt_tokens": 170, "completion_tokens": 150, "total_tokens": 320 } } Prompt Tokens - 170 |











