Sources
![]() Lindus Health Raises $55M to Accelerate AI-Driven Clinical Trials
HIT Consultant - (Wednesday January 22, 2025) What You Should Know: – Lindus Health, a company transforming the clinical trial landscape with its tech-first approach raises $55M in Series B funding round led by Balderton Capital, with participation from Visionaries Club and… ![]() Missed Appointments: A Hidden Cost for Physicians and Patients
HIT Consultant - (Wednesday January 22, 2025) Michael Nilsson, CEO and founder of AddEvent Physicians and patients both struggle with the healthcare system’s many idiosyncrasies, albeit in different ways. On the caregiver side, missed appointments are estimated to cost the average solo… |
![]() Brain implant will be trialled by NHS to help treat neural conditions
Digital Health - (Wednesday January 22, 2025) Barking, Havering and Redbridge University Hospitals NHS Trust will trial a whole-brain computer interface that uses ultrasound to measure and modulate brain-wide activity. ![]() Helen Thomas: ‘Are our systems ready for the next pandemic? No.’
Digital Health - (Wednesday January 22, 2025) Helen Thomas, chief executive at Digital Health and Care Wales (Image provided by DHCW) As chief executive officer of Digital Health and Care Wales (DHCW), Helen Thomas is leading a six-year digital strategy that… |
![]() MHRA issues guidance on medical device surveillance regulation
Digital Health - (Wednesday January 22, 2025) The Medicines and Healthcare Products Regulatory Agency (MHRA) has issued fresh guidance to help medical device manufacturers prepare for upcoming regulatory changes. ![]() High street opticians could spot dementia risk using AI tool
Digital Health - (Wednesday January 22, 2025) Baljean Dhillon, professor of clinical ophthalmology at the University of Edinburgh (Credit: andrewperry.co.uk) Researchers are working with high street opticians to develop a digital tool that can predict a person’s risk of dementia from… |
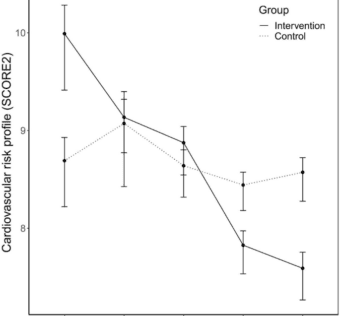
![]() Impact of visual presentation of atherosclerotic carotid plaque on cardiovascular risk profile using mHealth technologies
npj Digital Medicine - (Wednesday January 22, 2025) This randomized, controlled trial evaluated the impact of plaque visualization combined with daily tasks on cardiovascular risk profile and included 240 participants with coronary arterial disease. The intervention group received the PreventiPlaque app during… ![]() FDA Bans Red No. 3 in Food Products
DistilINFO Hospital IT - (Wednesday January 22, 2025) Breaking News: FDA’s Landmark Decision |
![]() DEA Proposes New Telehealth Prescribing Framework
DistilINFO Hospital IT - (Wednesday January 22, 2025) Understanding the New Registration Types ![]() Essential 2026 ACA Marketplace Changes Transform Healthcare
DistilINFO Hospital IT - (Wednesday January 22, 2025) Major Consumer Protection Enhancements |










