Sources
![]() Transforming Care Delivery: A Multidisciplinary Approach to Virtual Care
HIT Consultant - (Monday May 5, 2025) Karie Ryan, Chief Nursing Officer at Artisight As healthcare organizations increasingly adopt virtual care technologies, many focus primarily on virtual nursing or physician specialty consultations. However, this narrow view overlooks a crucial opportunity: leveraging virtual… ![]() Monday Morning Update 5/5/25
HIStalk - (Sunday May 4, 2025) Top News The White House’s budget proposal would increase funding for the VA’s Oracle Health EHR project by $2.17 billion. |
![]() Synthetic medical education in dermatology leveraging generative artificial intelligence
npj Digital Medicine - (Sunday May 4, 2025) The advent of large language models (LLMs) represents an enormous opportunity to revolutionize medical education. Via “synthetic education,” LLMs can be harnessed to generate novel content for medical education purposes, offering potentially unlimited resources… ![]() Mitigating the risk of health inequity exacerbated by large language models
npj Digital Medicine - (Sunday May 4, 2025) Recent advancements in large language models (LLMs) have demonstrated their potential in numerous medical applications, particularly in automating clinical trial matching for translational research and enhancing medical question-answering for clinical decision support. However, our… |
![]() The Healing Power of Psychoanalysis, Revealed by a Patient for the First Time
eHealth Radio Network - (Sunday May 4, 2025)
Joan K. Peters who got her Ph.D in comparative literature from The University of Chicago joins eHealth Radio and the Health News Channel. She’s published a novel and two books about women and work… ![]() Multimodal GPT model for assisting thyroid nodule diagnosis and management
npj Digital Medicine - (Sunday May 4, 2025) Although using artificial intelligence (AI) to analyze ultrasound images is a promising approach to assessing thyroid nodule risks, traditional AI models lack transparency and interpretability. We developed a multimodal generative pre-trained transformer for thyroid… |
![]() A choice based conjoint analysis of mobile healthcare application preferences among physicians, patients, and individuals
npj Digital Medicine - (Saturday May 3, 2025) The rapid proliferation of healthcare service applications (apps) makes it challenging for consumers to determine the best one for their needs, prompting the Korean government to introduce an accreditation program to verify app safety…. ![]() The FAIIR conversational AI agent assistant for youth mental health service provision
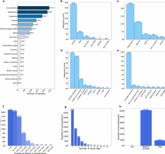
npj Digital Medicine - (Saturday May 3, 2025) Frontline crisis support plays a critical role in youth mental health services, where Crisis Responders (CRs) engage in conversations and assign issue tags to guide interventions. To enhance this process, we introduce FAIIR (Frontline… |
![]() Latent retinal structural patterns with aging
npj Digital Medicine - (Saturday May 3, 2025) Optical coherence tomography (OCT) is an efficient tool for non-invasively evaluating retinal structures. Retinal thinning changes assessed using OCT are recognized as potential biomarkers for systemic conditions such as Alzheimer’s disease, Parkinson’s disease, and… ![]() Expert of Experts Verification and Alignment (EVAL) Framework for Large Language Models Safety in Gastroenterology
npj Digital Medicine - (Saturday May 3, 2025) Large language models generate plausible text responses to medical questions, but inaccurate responses pose significant risks in medical decision-making. Grading LLM outputs to determine the best model or answer is time-consuming and impractical in… |










