Sources
![]() 5 under-resourced health centers tackle AI’s challenges together
Healthcare IT news - (Friday June 6, 2025) Under-resourced hospitals face a big artificial intelligence adoption learning curve, but it’s surmountable if they can keep up with rapidly advancing analytics and AI tools in an industry increasingly turning to automation to lower… ![]() Omada Health debuts on Nasdaq at $19 per share
MobiHealthNews - (Friday June 6, 2025) Chronic care management company Omada Health will begin trading on the Nasdaq Global Market under the ticker symbol OMDA on June 6 at a public offering price of $19 per share, in the middle of… |
![]() Hospital Charity Care Disparities Across America
DistilINFO Hospital IT - (Friday June 6, 2025) Understanding the National Healthcare Crisis ![]() Machine learning to predict penumbra core mismatch in acute ischemic stroke using clinical note data
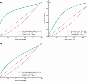
npj Digital Medicine - (Friday June 6, 2025) In acute ischemic stroke due to large-vessel occlusion (AIS-LVO), late-window endovascular thrombectomy (EVT) decisions depend on penumbra-to-core (P:C) mismatch from computed tomographic perfusion (CTP). We developed multiple machine learning (ML) models to predict P:C… |
![]() NHS Scotland publishes £206m tender for cloud integration solution
Digital Health - (Friday June 6, 2025) NHS Scotland has published a tender worth £206 million seeking a cloud solution to consolidate HR, finance, payroll and procurement processes across the country’s regional health boards. ![]() Ultrahuman Launches ‘Home’ Device for Advanced Environmental Health Monitoring
HIT Consultant - (Friday June 6, 2025) What You Should Know: – Ultrahuman today announced the public launch of Ultrahuman Home, a pioneering home health monitoring device designed to redefine how individuals experience and optimize their living spaces. – Now available on Ultrahuman.com,… |
![]() Home Healthcare Agencies Abandoning Telehealth Services
DistilINFO Hospital IT - (Friday June 6, 2025) The Great Telehealth Exodus in Home Healthcare ![]() Healthcare Claim Denial Rates Rise
DistilINFO Hospital IT - (Friday June 6, 2025) Healthcare Revenue Crisis Intensifies Nationwide |
![]() Post-Surgical Care with PolyPid – Life Sciences Today Podcast Episode 12
Healthcare IT Today - (Friday June 6, 2025) We're excited to be back for another episode of the Life Sciences Today Podcast by Healthcare IT Today. My guest today is Ori Warshavsky, COO at PolyPid. With a platform that anchors drug delivery… ![]() Australian Catholic University to develop digital nursing education platform and more briefs
Healthcare IT news - (Friday June 6, 2025) ACU partners with startup to build digital nursing education platformThe Australian Catholic University (ACU) in Sydney has partnered with education technology startup Skybox Health to develop software for digital nursing education. |











