Sources
![]() Hospitals face disruption from cheaper, faster interactive AI tools
MobiHealthNews - (Thursday October 2, 2025) Hospitals face disruption from cheaper, faster interactive AI tools | Mobi Health News Skip to main content… ![]() Are hospitals ready to offer ‘AI concierge’ services?
Healthcare IT news - (Thursday October 2, 2025) Are hospitals ready to offer ‘AI concierge’ services? | Healthcare IT News Skip to main content… |
![]() Koda Health Secures $7M to Scale AI-Enhanced Patient Decision Platform
HIT Consultant - (Thursday October 2, 2025) Co-Founders Tatiana Fofanova, PhD and Desh Mohan, MD What You Should Know: –Koda Health, a digital health company building an AI-enhanced patient decision support platform that enables health systems and payers to scale advanced care planning (ACP)… ![]() A Sit Down with Acentra Health’s Leader, Todd Stottlemyer
Healthcare IT Today - (Thursday October 2, 2025) In this video, Todd Stottlemyer, CEO at Acentra Health, sets forth new initiatives at his company and his own views on leadership.Acentra Health recently launched a consortium named the Safe AI and Medicaid Alliance… |
![]() Vendor notebook: Health IT companies put data challenges in focus
Healthcare IT news - (Thursday October 2, 2025) Vendor notebook: Health IT companies put data challenges in focus | Healthcare IT News Skip to main content… ![]() Osso VR Launches Osso Nurse Training Platform to Accelerate Nursing Onboarding with Virtual Reality
HIT Consultant - (Thursday October 2, 2025) What You Should Know: – Osso VR, a leader in immersive healthcare training, has announced early access to its new virtual reality (VR) nursing solution, Osso Nurse Training. The platform is designed to optimize how… |
![]() EPtalk by Dr. Jayne 10/2/25
HIStalk - (Thursday October 2, 2025) Family members who I talk to about AI are usually surprised to learn that it’s being used in healthcare. They assume that regulations for its use must be in place. I explain the threshold… ![]() Somerset Cancer Register to launch cloud-based platform
Digital Health - (Thursday October 2, 2025) Ruth McCarthy, operations manager of the Somerset Cancer Register (Credit: Ruth McCarthy) Somerset NHS Foundation Trust’s software platform, the Somerset Cancer Register (SCR), is launching a cloud-based platform. |
![]() Ben Goldacre and Gillian Leng to keynote at Rewired 2026
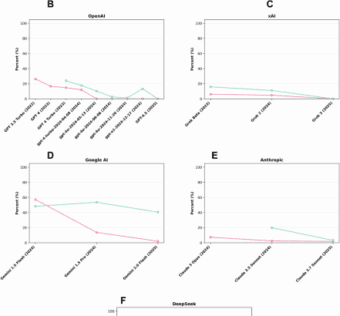
Digital Health - (Thursday October 2, 2025) Dr Charlotte Refsum, director of health policy at the Tony Blair Institute for Global Change (TBI) will make a welcome return to Digital Health Rewired in 2026.Professor Ben Goldacre and Professor Gillian Leng have… ![]() A longitudinal analysis of declining medical safety messaging in generative AI models
npj Digital Medicine - (Thursday October 2, 2025) Generative AI models, including large language models (LLMs) and vision-language models (VLMs), are increasingly used to interpret medical images and answer clinical questions. However, their responses often include inaccuracies; therefore, safety measures like medical… |











