Google Vision
![]() | Lindus Health Raises $55M to Accelerate AI-Driven Clinical TrialsHIT Consultant - (Wednesday January 22, 2025) - AI / Digital Health / Frequent Updates / HIT Consultant | |||
| ||||
![]() | Missed Appointments: A Hidden Cost for Physicians and PatientsHIT Consultant - (Wednesday January 22, 2025) - Frequent Updates / HIT Consultant | |||
| ||||
![]() | Brain implant will be trialled by NHS to help treat neural conditionsDigital Health - (Wednesday January 22, 2025) - Digital Health / Frequent Updates | |||
| ||||
![]() | Helen Thomas: ‘Are our systems ready for the next pandemic? No.’Digital Health - (Wednesday January 22, 2025) - Digital Health / Frequent Updates | |||
| ||||
![]() | MHRA issues guidance on medical device surveillance regulationDigital Health - (Wednesday January 22, 2025) - Digital Health / Frequent Updates | |||
| ||||
![]() | High street opticians could spot dementia risk using AI toolDigital Health - (Wednesday January 22, 2025) - AI / Digital Health / Frequent Updates | |||
| ||||
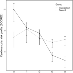
![]() | Impact of visual presentation of atherosclerotic carotid plaque on cardiovascular risk profile using mHealth technologiesnpj Digital Medicine - (Wednesday January 22, 2025) - Frequent Updates / npj Digital Medicine | |||
| ||||
![]() | FDA Bans Red No. 3 in Food ProductsDistilINFO Hospital IT - (Wednesday January 22, 2025) - Daily Reads / DistilINFO Hospital IT | |||
| ||||
![]() | DEA Proposes New Telehealth Prescribing FrameworkDistilINFO Hospital IT - (Wednesday January 22, 2025) - Daily Reads / DistilINFO Hospital IT | |||
| ||||
![]() | Essential 2026 ACA Marketplace Changes Transform HealthcareDistilINFO Hospital IT - (Wednesday January 22, 2025) - Daily Reads / DistilINFO Hospital IT | |||
| ||||










