Google Vision
![]() | These 3 Things Must Change for Hospital Cybersecurity to Improve – MedCity NewsMedCity News - (Sunday June 16, 2024) - Frequent Updates / MedCity News | |||
| ||||
![]() | Monday Morning Update 6/17/24 – HIStalkHIStalk - (Sunday June 16, 2024) - Daily Reads / HIStalk | |||
| ||||
![]() | Learn about the elephant in the waiting room #shortsHealthcare IT Today - (Sunday June 16, 2024) - Healthcare IT Today / Videos | |||
| ||||
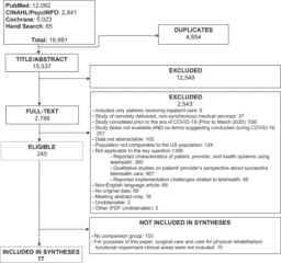
![]() | Effectiveness of telehealth versus in-person care during the COVID-19 pandemic: a systematic reviewnpj Digital Medicine - (Saturday June 15, 2024) - Frequent Updates / npj Digital Medicine | |||
| ||||
![]() | Achieving and sustaining excellent results with Aveli Cellulite treatmenteHealth Radio Network - (Saturday June 15, 2024) - eHealth Radio Network / Podcasts | |||
| ||||
![]() | Exergaming and cognitive functions in people with mild cognitive impairment and dementia: a meta-analysisnpj Digital Medicine - (Saturday June 15, 2024) - Frequent Updates / npj Digital Medicine | |||
| ||||
![]() | How do providers tackle the challenge around the non-standardization of data today? #shortsHealthcare IT Today - (Saturday June 15, 2024) - Healthcare IT Today / Videos | |||
| ||||
![]() | Wheel’s New AI Platform Seeks to Power the New Era of Virtual Care – MedCity NewsMedCity News - (Friday June 14, 2024) - AI / Frequent Updates / MedCity News | |||
| ||||
![]() | Done Health CEO and clinical president arrested for alleged $100M schemeMobiHealthNews - (Friday June 14, 2024) - Frequent Updates / MobiHealthNews | |||
| ||||
![]() | Better Health Raises $14M To Reach More Patients with Chronic Conditions – MedCity NewsMedCity News - (Friday June 14, 2024) - Frequent Updates / MedCity News | |||
| ||||










