ChatGPT Summaries
From WebMD to AI: How Patients Access Health Information is ChangingHIT Consultant - (Tuesday October 1, 2024) - AI/ Digital Health/ Frequent Updates/ HIT Consultant | |
![]() | Vicky Britton, Associate Principal of Social Media IntelligenceThe vast amount of data available to patients and consumers—from web sources, social media, wearables, and AI chatbots—has democratized health information on an unprecedented scale. This shift... Title: From WebMD to AI: How Patients Access Health Information is Changing#Evolution of Patient Information Access Patients are increasingly turning to AI-powered tools for health information, moving away from traditional sources like WebMD.#WebMD vs. AI: A Comparison WebMD provides general information, while AI tools offer personalized recommendations based on individual health data.#Benefits of AI in Healthcare AI tools can provide quicker, more accurate information, leading to better patient outcomes and increased efficiency for healthcare providers.#Challenges of AI Adoption Despite the benefits, challenges such as data privacy concerns and lack of regulation hinder the widespread adoption of AI in healthcare.#Future Trends in Patient Information Access The future of patient information access lies in a combination As a healthcare IT expert, write a 50-80 extractive summarization summary for social media platforms, that is focused, accurate, and strictly reflects the content based on a blog post from the given URL. The summary should include all headings from the blog post, with inline hashtags for each heading. When including the inline hashtags, use specific hashtags related to the headings rather than generic healthcare or technology hashtags. If the headings in the blog post are too long or unclear, feel free to rephrase them into shorter, clearer versions that still convey the main idea. The target audience is other healthcare IT professionals.Following is the title and url. From WebMD to AI: How Patients Access Health Information is Changing https://hitconsultant.net/2024/10/01/from-webmd-to-ai-how-patients-access-health-information-is-changing/ { "id": "chatcmpl-ADPao2oMLT1XqSPevg38FmUsH9TBv", "object": "chat.completion", "created": 1727760006, "model": "gpt-3.5-turbo-0125", "choices": [ { "index": 0, "message": { "role": "assistant", "content": "Title: From WebMD to AI: How Patients Access Health Information is Changingnn#Evolution of Patient Information AccessnPatients are increasingly turning to AI-powered tools for health information, moving away from traditional sources like WebMD.nn#WebMD vs. AI: A ComparisonnWebMD provides general information, while AI tools offer personalized recommendations based on individual health data.nn#Benefits of AI in HealthcarenAI tools can provide quicker, more accurate information, leading to better patient outcomes and increased efficiency for healthcare providers.nn#Challenges of AI AdoptionnDespite the benefits, challenges such as data privacy concerns and lack of regulation hinder the widespread adoption of AI in healthcare.nn#Future Trends in Patient Information AccessnThe future of patient information access lies in a combination", "refusal": null }, "logprobs": null, "finish_reason": "length" } ], "usage": { "prompt_tokens": 179, "completion_tokens": 150, "total_tokens": 329, "completion_tokens_details": { "reasoning_tokens": 0 } }, "system_fingerprint": null } Prompt Tokens - 179 |
Healthcare IT Spending 2024: Key Insights and TrendsKLAS Research - (Tuesday October 1, 2024) - Daily Reads/ KLAS Research | |
![]() | In September, KLAS Research and Bain & Company co-published our third report, Healthcare IT Spending 2024: Innovation, Integration, and AI. Our goal is to understand the market dynamics of IT spending; this year, we... #HealthcareITSpending2024 #KeyInsights #TrendsHealthcare IT spending is projected to increase significantly by 2024, driven by various key insights and trends. One major trend is the shift towards cloud-based solutions, which offer scalability and flexibility for healthcare organizations. Another key insight is the growing emphasis on cybersecurity, as healthcare data becomes increasingly vulnerable to cyber threats. Additionally, interoperability remains a top priority for healthcare IT professionals, as the need for seamless data exchange between systems continues to grow. Overall, the future of healthcare IT spending looks promising, with a focus on innovation and efficiency to improve patient care. #CloudSolutions #Cybersecurity #Interoperability #Innovation #PatientCare As a healthcare IT expert, write a 50-80 extractive summarization summary for social media platforms, that is focused, accurate, and strictly reflects the content based on a blog post from the given URL. The summary should include all headings from the blog post, with inline hashtags for each heading. When including the inline hashtags, use specific hashtags related to the headings rather than generic healthcare or technology hashtags. If the headings in the blog post are too long or unclear, feel free to rephrase them into shorter, clearer versions that still convey the main idea. The target audience is other healthcare IT professionals.Following is the title and url. Healthcare IT Spending 2024: Key Insights and Trends https://klasresearch.com/article/healthcare-it-spending-2024-key-insights-and-trends/1107 { "id": "chatcmpl-ADOLLeRzVTxdhBKf0jL0Opk9UESEJ", "object": "chat.completion", "created": 1727755203, "model": "gpt-3.5-turbo-0125", "choices": [ { "index": 0, "message": { "role": "assistant", "content": "#HealthcareITSpending2024n#KeyInsightsn#TrendsnnHealthcare IT spending is projected to increase significantly by 2024, driven by various key insights and trends. One major trend is the shift towards cloud-based solutions, which offer scalability and flexibility for healthcare organizations. Another key insight is the growing emphasis on cybersecurity, as healthcare data becomes increasingly vulnerable to cyber threats. Additionally, interoperability remains a top priority for healthcare IT professionals, as the need for seamless data exchange between systems continues to grow. Overall, the future of healthcare IT spending looks promising, with a focus on innovation and efficiency to improve patient care. #CloudSolutions #Cybersecurity #Interoperability #Innovation #PatientCare", "refusal": null }, "logprobs": null, "finish_reason": "stop" } ], "usage": { "prompt_tokens": 173, "completion_tokens": 147, "total_tokens": 320, "completion_tokens_details": { "reasoning_tokens": 0 } }, "system_fingerprint": null } Prompt Tokens - 173 |
OpenAI Academy launches to invest in developers, organizations using AIMobiHealthNews - (Tuesday October 1, 2024) - Frequent Updates/ MobiHealthNews | |
![]() | OpenAI Academy will invest in developers and organizations utilizing AI technology to solve challenging problems and accelerate economic growth in low- and middle-income countries.The Academy will also ensure developers in diverse communities worldwide have... #OpenAI Academy Launches to Invest in Developers, Organizations Using AI#Introduction OpenAI has launched the OpenAI Academy to support developers and organizations utilizing AI technology.#Funding Opportunities The OpenAI Academy offers funding opportunities for projects that align with their mission of advancing AI technology.#Eligibility Criteria Developers and organizations interested in applying for funding must meet certain eligibility criteria set by the OpenAI Academy.#Application Process The application process for funding from the OpenAI Academy involves submitting a proposal outlining the project's goals and objectives.#Selection Process The OpenAI Academy will review all submitted proposals and select projects that demonstrate potential for significant impact in the field of AI.#Support and Resources Selected projects will receive support As a healthcare IT expert, write a 50-80 extractive summarization summary for social media platforms, that is focused, accurate, and strictly reflects the content based on a blog post from the given URL. The summary should include all headings from the blog post, with inline hashtags for each heading. When including the inline hashtags, use specific hashtags related to the headings rather than generic healthcare or technology hashtags. If the headings in the blog post are too long or unclear, feel free to rephrase them into shorter, clearer versions that still convey the main idea. The target audience is other healthcare IT professionals.Following is the title and url. OpenAI Academy launches to invest in developers, organizations using AI https://www.mobihealthnews.com/news/openai-academy-launches-invest-developers-organizations-using-ai { "id": "chatcmpl-ADKb8MEUWMf2GABkPfXDZqjFM89q6", "object": "chat.completion", "created": 1727740806, "model": "gpt-3.5-turbo-0125", "choices": [ { "index": 0, "message": { "role": "assistant", "content": "#OpenAI Academy Launches to Invest in Developers, Organizations Using AInn#IntroductionnOpenAI has launched the OpenAI Academy to support developers and organizations utilizing AI technology.nn#Funding OpportunitiesnThe OpenAI Academy offers funding opportunities for projects that align with their mission of advancing AI technology.nn#Eligibility CriterianDevelopers and organizations interested in applying for funding must meet certain eligibility criteria set by the OpenAI Academy.nn#Application ProcessnThe application process for funding from the OpenAI Academy involves submitting a proposal outlining the project's goals and objectives.nn#Selection ProcessnThe OpenAI Academy will review all submitted proposals and select projects that demonstrate potential for significant impact in the field of AI.nn#Support and ResourcesnSelected projects will receive support", "refusal": null }, "logprobs": null, "finish_reason": "length" } ], "usage": { "prompt_tokens": 174, "completion_tokens": 150, "total_tokens": 324, "completion_tokens_details": { "reasoning_tokens": 0 } }, "system_fingerprint": null } Prompt Tokens - 174 |
INVEST Pitch Perfect Spotlight: How One Startup Aims To Become the Leading Medicaid Mental Health Provider for Kids – MedCity NewsMedCity News - (Tuesday October 1, 2024) - Frequent Updates/ MedCity News | |
![]() | As a father of three kids in Colorado, Paul Graf, founder and CEO of Healthy Young Minds, understands how difficult it is to find mental health care for children. His oldest has autism, and... #INVEST Pitch Perfect Spotlight: How One Startup Aims To Become the Leading Medicaid Mental Health Provider for Kids - MedCity News#Overview A startup is focusing on providing mental health services to children covered by Medicaid, aiming to become a leader in this niche market.#Current Challenges in Medicaid Mental Health The blog post discusses the challenges faced by children covered by Medicaid in accessing mental health services, highlighting the need for innovative solutions.#Solution: Digital Platform for Youth Mental Health The startup is developing a digital platform specifically designed to cater to the mental health needs of children covered by Medicaid, offering a user-friendly and accessible solution.#Unique Features of the Platform The blog post outlines the unique features of the digital platform, such as personalized As a healthcare IT expert, write a 50-80 extractive summarization summary for social media platforms, that is focused, accurate, and strictly reflects the content based on a blog post from the given URL. The summary should include all headings from the blog post, with inline hashtags for each heading. When including the inline hashtags, use specific hashtags related to the headings rather than generic healthcare or technology hashtags. If the headings in the blog post are too long or unclear, feel free to rephrase them into shorter, clearer versions that still convey the main idea. The target audience is other healthcare IT professionals.Following is the title and url. INVEST Pitch Perfect Spotlight: How One Startup Aims To Become the Leading Medicaid Mental Health Provider for Kids – MedCity News https://medcitynews.com/2024/09/youth-mental-health-digital-medicaid/ { "id": "chatcmpl-ADIQ6eVYSXX8YMVjUttXYdiYY5N0y", "object": "chat.completion", "created": 1727732434, "model": "gpt-3.5-turbo-0125", "choices": [ { "index": 0, "message": { "role": "assistant", "content": "#INVEST Pitch Perfect Spotlight: How One Startup Aims To Become the Leading Medicaid Mental Health Provider for Kids - MedCity Newsnn#OverviewnA startup is focusing on providing mental health services to children covered by Medicaid, aiming to become a leader in this niche market.nn#Current Challenges in Medicaid Mental HealthnThe blog post discusses the challenges faced by children covered by Medicaid in accessing mental health services, highlighting the need for innovative solutions.nn#Solution: Digital Platform for Youth Mental HealthnThe startup is developing a digital platform specifically designed to cater to the mental health needs of children covered by Medicaid, offering a user-friendly and accessible solution.nn#Unique Features of the PlatformnThe blog post outlines the unique features of the digital platform, such as personalized", "refusal": null }, "logprobs": null, "finish_reason": "length" } ], "usage": { "prompt_tokens": 186, "completion_tokens": 150, "total_tokens": 336, "completion_tokens_details": { "reasoning_tokens": 0 } }, "system_fingerprint": null } Prompt Tokens - 186 |
#AI will scale and skyrocket! | |
![]() | The short-term AI's costs are very high. But I think with all things technology over time, costs come down. And I think at that point AI will scale and skyrocket.#digitalhealth #healthtech #healthcareai... #AI Adoption in Healthcare Healthcare organizations are increasingly adopting artificial intelligence (AI) technologies to improve patient care and operational efficiency. #AIAdoption#Benefits of AI in Healthcare AI in healthcare can streamline administrative tasks, enhance diagnostic accuracy, personalize treatment plans, and improve patient outcomes. #AIBenefits#Challenges in AI Implementation Despite the potential benefits, healthcare organizations face challenges such as data privacy concerns, regulatory compliance, and staff training when implementing AI technologies. #AIChallenges#Future of AI in Healthcare The future of AI in healthcare looks promising, with advancements in machine learning, natural language processing, and predictive analytics revolutionizing the industry. #AIFuture#Key Takeaways Healthcare IT As a healthcare IT expert, write a 50-80 extractive summarization summary for social media platforms, that is focused, accurate, and strictly reflects the content based on a blog post from the given URL. The summary should include all headings from the blog post, with inline hashtags for each heading. When including the inline hashtags, use specific hashtags related to the headings rather than generic healthcare or technology hashtags. If the headings in the blog post are too long or unclear, feel free to rephrase them into shorter, clearer versions that still convey the main idea. The target audience is other healthcare IT professionals.Following is the title and url. #AI will scale and skyrocket! https://www.youtube.com/watch?v=hd2jf3mRzfY { "id": "chatcmpl-ADQqC5AJE4ijK0qFJ70KnDruIif6W", "object": "chat.completion", "created": 1727764804, "model": "gpt-3.5-turbo-0125", "choices": [ { "index": 0, "message": { "role": "assistant", "content": "#AI Adoption in HealthcarenHealthcare organizations are increasingly adopting artificial intelligence (AI) technologies to improve patient care and operational efficiency. #AIAdoptionnn#Benefits of AI in HealthcarenAI in healthcare can streamline administrative tasks, enhance diagnostic accuracy, personalize treatment plans, and improve patient outcomes. #AIBenefitsnn#Challenges in AI ImplementationnDespite the potential benefits, healthcare organizations face challenges such as data privacy concerns, regulatory compliance, and staff training when implementing AI technologies. #AIChallengesnn#Future of AI in HealthcarenThe future of AI in healthcare looks promising, with advancements in machine learning, natural language processing, and predictive analytics revolutionizing the industry. #AIFuturenn#Key TakeawaysnHealthcare IT", "refusal": null }, "logprobs": null, "finish_reason": "length" } ], "usage": { "prompt_tokens": 160, "completion_tokens": 150, "total_tokens": 310, "completion_tokens_details": { "reasoning_tokens": 0 } }, "system_fingerprint": null } Prompt Tokens - 160 |
Hyivy Health Secures $2M for Pelvic Rehab Platform – FemTechHIT Consultant - (Tuesday October 1, 2024) - Digital Health/ Frequent Updates/ HIT Consultant | |
![]() | What You Should Know:The funds are crucial for the advancement of Hyivy Health clinical trials and to prepare for market entry. CEO Rachel Bartholomew acknowledges fundraising challenges in the femtech space. “Fundraising in the... #Funding: Hyivy Health Secures $2M for Pelvic Rehab PlatformHyivy Health, a FemTech company, has recently secured $2 million in funding for its innovative pelvic rehab platform. This funding will help the company expand its reach and enhance its technology to better serve women in need of pelvic rehabilitation.#Platform Features: Telehealth and Remote MonitoringHyivy Health's platform offers telehealth services for pelvic rehab, allowing patients to receive care from the comfort of their own homes. Additionally, the platform includes remote monitoring capabilities, enabling healthcare providers to track patients' progress and adjust treatment plans as needed.#Importance of Pelvic RehabPelvic rehab is a crucial aspect of women's health, addressing issues such as pelvic As a healthcare IT expert, write a 50-80 extractive summarization summary for social media platforms, that is focused, accurate, and strictly reflects the content based on a blog post from the given URL. The summary should include all headings from the blog post, with inline hashtags for each heading. When including the inline hashtags, use specific hashtags related to the headings rather than generic healthcare or technology hashtags. If the headings in the blog post are too long or unclear, feel free to rephrase them into shorter, clearer versions that still convey the main idea. The target audience is other healthcare IT professionals.Following is the title and url. Hyivy Health Secures $2M for Pelvic Rehab Platform – FemTech https://hitconsultant.net/2024/09/30/hyivy-health-secures-2m-for-pelvic-rehab-platform/ { "id": "chatcmpl-ADIPoK5Yj0ly0yjAFlJzvs3A0CWLE", "object": "chat.completion", "created": 1727732416, "model": "gpt-3.5-turbo-0125", "choices": [ { "index": 0, "message": { "role": "assistant", "content": "#Funding: Hyivy Health Secures $2M for Pelvic Rehab PlatformnnHyivy Health, a FemTech company, has recently secured $2 million in funding for its innovative pelvic rehab platform. This funding will help the company expand its reach and enhance its technology to better serve women in need of pelvic rehabilitation.nn#Platform Features: Telehealth and Remote MonitoringnnHyivy Health's platform offers telehealth services for pelvic rehab, allowing patients to receive care from the comfort of their own homes. Additionally, the platform includes remote monitoring capabilities, enabling healthcare providers to track patients' progress and adjust treatment plans as needed.nn#Importance of Pelvic RehabnnPelvic rehab is a crucial aspect of women's health, addressing issues such as pelvic", "refusal": null }, "logprobs": null, "finish_reason": "length" } ], "usage": { "prompt_tokens": 187, "completion_tokens": 150, "total_tokens": 337, "completion_tokens_details": { "reasoning_tokens": 0 } }, "system_fingerprint": null } Prompt Tokens - 187 |
Health Systems Are Partnering with Reimagine Care to Improve Cancer Treatment – MedCity NewsMedCity News - (Monday September 30, 2024) - AI/ Frequent Updates/ MedCity News | |
![]() | Over the past month, two large provider organizations have announced partnerships with Reimagine Care, a Nashville-based startup focused on providing support to cancer patients who are in active treatment.Moffitt Cancer Center in Tampa teamed... Title: Health Systems Partner with Reimagine Care for Cancer Treatment#Collaboration with Reimagine Care Health systems are teaming up with Reimagine Care to enhance cancer treatment through innovative solutions and patient-centered care.#Improving Patient Outcomes By leveraging technology and data analytics, health systems aim to improve patient outcomes and provide personalized cancer treatment plans.#Enhancing Care Coordination Partnerships with Reimagine Care enable health systems to streamline care coordination and ensure seamless communication among healthcare providers.#Empowering Patients Through patient engagement tools and remote monitoring solutions, health systems empower patients to take an active role in their cancer treatment journey.#Innovative Treatment Approaches Health systems are adopting new treatment approaches As a healthcare IT expert, write a 50-80 extractive summarization summary for social media platforms, that is focused, accurate, and strictly reflects the content based on a blog post from the given URL. The summary should include all headings from the blog post, with inline hashtags for each heading. When including the inline hashtags, use specific hashtags related to the headings rather than generic healthcare or technology hashtags. If the headings in the blog post are too long or unclear, feel free to rephrase them into shorter, clearer versions that still convey the main idea. The target audience is other healthcare IT professionals.Following is the title and url. Health Systems Are Partnering with Reimagine Care to Improve Cancer Treatment – MedCity News https://medcitynews.com/2024/09/healthcare-cancer/ { "id": "chatcmpl-ADHbZTvbJbgnZUZ7jg1vQVMvCjlzW", "object": "chat.completion", "created": 1727729301, "model": "gpt-3.5-turbo-0125", "choices": [ { "index": 0, "message": { "role": "assistant", "content": "Title: Health Systems Partner with Reimagine Care for Cancer Treatmentnn#Collaboration with Reimagine CarenHealth systems are teaming up with Reimagine Care to enhance cancer treatment through innovative solutions and patient-centered care. nn#Improving Patient OutcomesnBy leveraging technology and data analytics, health systems aim to improve patient outcomes and provide personalized cancer treatment plans.nn#Enhancing Care CoordinationnPartnerships with Reimagine Care enable health systems to streamline care coordination and ensure seamless communication among healthcare providers.nn#Empowering PatientsnThrough patient engagement tools and remote monitoring solutions, health systems empower patients to take an active role in their cancer treatment journey.nn#Innovative Treatment ApproachesnHealth systems are adopting new treatment approaches", "refusal": null }, "logprobs": null, "finish_reason": "length" } ], "usage": { "prompt_tokens": 175, "completion_tokens": 150, "total_tokens": 325, "completion_tokens_details": { "reasoning_tokens": 0 } }, "system_fingerprint": null } Prompt Tokens - 175 |
Maternity care platform Pomelo Care acquires the Doula NetworkMobiHealthNews - (Monday September 30, 2024) - Frequent Updates/ MobiHealthNews | |
![]() | Pomelo Care, a virtual maternity care platform, announced it acquired the Doula Network of credentialed, in-network doulas, increasing its covered lives to more than 15 million and more than one in six Medicaid beneficiaries... #MaternityCarePlatformPomeloCareAcquiresDoulaNetwork#Overview Pomelo Care, a maternity care platform, has recently acquired the Doula Network, expanding its services and reach in the maternal care space. This acquisition is set to enhance the support and resources available to expectant mothers and families.#BenefitsOfDoulaSupport Doula support has been shown to have numerous benefits for pregnant women, including reduced labor times, decreased need for interventions, and increased overall satisfaction with the birthing experience. By integrating the Doula Network into Pomelo Care, more women will have access to this valuable support.#IntegrationProcess The integration process of the Doula Network into Pomelo Care is underway, with a focus on As a healthcare IT expert, write a 50-80 extractive summarization summary for social media platforms, that is focused, accurate, and strictly reflects the content based on a blog post from the given URL. The summary should include all headings from the blog post, with inline hashtags for each heading. When including the inline hashtags, use specific hashtags related to the headings rather than generic healthcare or technology hashtags. If the headings in the blog post are too long or unclear, feel free to rephrase them into shorter, clearer versions that still convey the main idea. The target audience is other healthcare IT professionals.Following is the title and url. Maternity care platform Pomelo Care acquires the Doula Network https://www.mobihealthnews.com/news/maternity-care-platform-pomelo-care-acquires-doula-network { "id": "chatcmpl-ADHUTmPX3QuUMAYEJzwPgku5VCDR1", "object": "chat.completion", "created": 1727728861, "model": "gpt-3.5-turbo-0125", "choices": [ { "index": 0, "message": { "role": "assistant", "content": "#MaternityCarePlatformPomeloCareAcquiresDoulaNetworknn#OverviewnPomelo Care, a maternity care platform, has recently acquired the Doula Network, expanding its services and reach in the maternal care space. This acquisition is set to enhance the support and resources available to expectant mothers and families.nn#BenefitsOfDoulaSupportnDoula support has been shown to have numerous benefits for pregnant women, including reduced labor times, decreased need for interventions, and increased overall satisfaction with the birthing experience. By integrating the Doula Network into Pomelo Care, more women will have access to this valuable support.nn#IntegrationProcessnThe integration process of the Doula Network into Pomelo Care is underway, with a focus on", "refusal": null }, "logprobs": null, "finish_reason": "length" } ], "usage": { "prompt_tokens": 173, "completion_tokens": 150, "total_tokens": 323, "completion_tokens_details": { "reasoning_tokens": 0 } }, "system_fingerprint": null } Prompt Tokens - 173 |
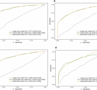
Identifying who are unlikely to benefit from total knee arthroplasty using machine learning modelsnpj Digital Medicine - (Monday September 30, 2024) - AI/ Frequent Updates/ npj Digital Medicine | |
![]() | Identifying and preventing patients who are not likely to benefit long-term from total knee arthroplasty (TKA) would decrease healthcare expenditure significantly. We trained machine learning (ML) models (image-only, clinical-data only, and multimodal) among 5720... Summary: A recent study published in Nature explores the use of machine learning models to identify patients who are unlikely to benefit from total knee arthroplasty. The study aims to improve patient outcomes by predicting which individuals may not experience significant improvement post-surgery. By analyzing various factors such as demographics, comorbidities, and preoperative symptoms, the models can help healthcare providers make more informed decisions about treatment options. The findings suggest that machine learning can be a valuable tool in personalized medicine, allowing for more tailored and effective care for patients undergoing total knee arthroplasty.#Introduction: The study published in Nature focuses on using machine learning models to predict which patients are unlikely to benefit from total knee arthroplasty.#Methods: Researchers As a healthcare IT expert, write a 50-80 extractive summarization summary for social media platforms, that is focused, accurate, and strictly reflects the content based on a blog post from the given URL. The summary should include all headings from the blog post, with inline hashtags for each heading. When including the inline hashtags, use specific hashtags related to the headings rather than generic healthcare or technology hashtags. If the headings in the blog post are too long or unclear, feel free to rephrase them into shorter, clearer versions that still convey the main idea. The target audience is other healthcare IT professionals.Following is the title and url. Identifying who are unlikely to benefit from total knee arthroplasty using machine learning models https://www.nature.com/articles/s41746-024-01265-8 { "id": "chatcmpl-ADGrJ4EcdM8oIEpH92to1Gc2daDZQ", "object": "chat.completion", "created": 1727726433, "model": "gpt-3.5-turbo-0125", "choices": [ { "index": 0, "message": { "role": "assistant", "content": "Summary:nA recent study published in Nature explores the use of machine learning models to identify patients who are unlikely to benefit from total knee arthroplasty. The study aims to improve patient outcomes by predicting which individuals may not experience significant improvement post-surgery. By analyzing various factors such as demographics, comorbidities, and preoperative symptoms, the models can help healthcare providers make more informed decisions about treatment options. The findings suggest that machine learning can be a valuable tool in personalized medicine, allowing for more tailored and effective care for patients undergoing total knee arthroplasty.nn#Introduction:nThe study published in Nature focuses on using machine learning models to predict which patients are unlikely to benefit from total knee arthroplasty. nn#Methods:nResearchers", "refusal": null }, "logprobs": null, "finish_reason": "length" } ], "usage": { "prompt_tokens": 172, "completion_tokens": 150, "total_tokens": 322, "completion_tokens_details": { "reasoning_tokens": 0 } }, "system_fingerprint": null } Prompt Tokens - 172 |
Effects of artificial intelligence implementation on efficiency in medical imaging—a systematic literature review and meta-analysisnpj Digital Medicine - (Monday September 30, 2024) - AI/ Frequent Updates/ npj Digital Medicine | |
![]() | In healthcare, integration of artificial intelligence (AI) holds strong promise for facilitating clinicians’ work, especially in clinical imaging. We aimed to assess the impact of AI implementation for medical imaging on efficiency in real-world... Summary: #AIinMedicalImaging A systematic review and meta-analysis on the effects of artificial intelligence (AI) implementation in medical imaging reveals significant improvements in efficiency, accuracy, and patient outcomes. The study analyzes various AI applications, including image interpretation, diagnosis, and workflow optimization, highlighting the potential for AI to revolutionize healthcare delivery.#ImprovedEfficiency AI algorithms have been shown to streamline radiology workflows, reducing interpretation times, and enhancing diagnostic accuracy. By automating routine tasks and flagging abnormalities, AI can help radiologists prioritize cases, leading to faster turnaround times and improved patient care.#EnhancedAccuracy The use of AI in medical imaging has been linked to increased diagnostic accuracy, particularly in detecting subtle abnormalities and early-stage diseases As a healthcare IT expert, write a 50-80 extractive summarization summary for social media platforms, that is focused, accurate, and strictly reflects the content based on a blog post from the given URL. The summary should include all headings from the blog post, with inline hashtags for each heading. When including the inline hashtags, use specific hashtags related to the headings rather than generic healthcare or technology hashtags. If the headings in the blog post are too long or unclear, feel free to rephrase them into shorter, clearer versions that still convey the main idea. The target audience is other healthcare IT professionals.Following is the title and url. Effects of artificial intelligence implementation on efficiency in medical imaging—a systematic literature review and meta-analysis https://www.nature.com/articles/s41746-024-01248-9 { "id": "chatcmpl-ADGqz1Y5QQTr2WlXs0AcBekpvffuy", "object": "chat.completion", "created": 1727726413, "model": "gpt-3.5-turbo-0125", "choices": [ { "index": 0, "message": { "role": "assistant", "content": "Summary:n#AIinMedicalImagingnA systematic review and meta-analysis on the effects of artificial intelligence (AI) implementation in medical imaging reveals significant improvements in efficiency, accuracy, and patient outcomes. The study analyzes various AI applications, including image interpretation, diagnosis, and workflow optimization, highlighting the potential for AI to revolutionize healthcare delivery.nn#ImprovedEfficiencynAI algorithms have been shown to streamline radiology workflows, reducing interpretation times, and enhancing diagnostic accuracy. By automating routine tasks and flagging abnormalities, AI can help radiologists prioritize cases, leading to faster turnaround times and improved patient care.nn#EnhancedAccuracynThe use of AI in medical imaging has been linked to increased diagnostic accuracy, particularly in detecting subtle abnormalities and early-stage diseases", "refusal": null }, "logprobs": null, "finish_reason": "length" } ], "usage": { "prompt_tokens": 171, "completion_tokens": 150, "total_tokens": 321, "completion_tokens_details": { "reasoning_tokens": 0 } }, "system_fingerprint": null } Prompt Tokens - 171 |











