ChatGPT Summaries
Weekly Roundup – June 3, 2023 | Healthcare IT TodayHealthcare IT Today - (Saturday June 3, 2023) - Daily Reads/ Healthcare IT Today | |
![]() | Welcome to our Healthcare IT Today Weekly Roundup. Each week, we’ll be providing a look back at the articles we posted and why they’re important to the healthcare IT community. We hope this gives... #WeeklyRoundup: Healthcare IT Today's Latest News#1. #EHRs: The Importance of Interoperability in HealthcareInteroperability is crucial in the healthcare industry, especially when it comes to electronic health records (EHRs). With interoperability, healthcare providers can easily share patient data and improve patient outcomes. However, there are still challenges that need to be addressed to achieve full interoperability.#2. #Telemedicine: The Future of Healthcare DeliveryTelemedicine is becoming increasingly popular in the healthcare industry, especially in remote areas where access to healthcare is limited. With telemedicine, patients can receive medical care from the comfort of their own homes, and healthcare providers can reach more patients. However, there are still As a healthcare IT expert, write a 50-80 extractive summarization summary for social media platforms, that is focused, accurate, and strictly reflects the content based on a blog post from the given URL. The summary should include all headings from the blog post, with inline hashtags for each heading. When including the inline hashtags, use specific hashtags related to the headings rather than generic healthcare or technology hashtags. If the headings in the blog post are too long or unclear, feel free to rephrase them into shorter, clearer versions that still convey the main idea. The target audience is other healthcare IT professionals.Following is the title and url. Weekly Roundup – June 3, 2023 | Healthcare IT Today https://www.healthcareittoday.com/2023/06/03/weekly-roundup-june-3-2023/ {"id":"chatcmpl-7NN2MZQszxqWpXo5yh1rNxkqVimb6","object":"chat.completion","created":1685804454,"model":"gpt-3.5-turbo-0301","usage":{"prompt_tokens":180,"completion_tokens":150,"total_tokens":330},"choices":[{"message":{"role":"assistant","content":"#WeeklyRoundup: Healthcare IT Today's Latest Newsnn#1. #EHRs: The Importance of Interoperability in HealthcarennInteroperability is crucial in the healthcare industry, especially when it comes to electronic health records (EHRs). With interoperability, healthcare providers can easily share patient data and improve patient outcomes. However, there are still challenges that need to be addressed to achieve full interoperability.nn#2. #Telemedicine: The Future of Healthcare DeliverynnTelemedicine is becoming increasingly popular in the healthcare industry, especially in remote areas where access to healthcare is limited. With telemedicine, patients can receive medical care from the comfort of their own homes, and healthcare providers can reach more patients. However, there are still"},"finish_reason":"length","index":0}]} Prompt Tokens - 180 |
Mark Cuban calls Yusimry’s availability on MCCPDC ‘a game changer’MobiHealthNews - (Saturday June 3, 2023) - Frequent Updates/ MobiHealthNews | |
![]() | Mark Cuban Cost Plus Drug Company (MCCPDC) announced it is working with Coherus Biosciences, Inc. to sell Yusimry, a biosimilar version of the top-selling drug Humira, at a discounted price. Yusimry is used to treat... #MarkCuban praises #Yusimry's availability on #MCCPDC as a game changer in healthcare. Yusimry is a cloud-based platform that uses artificial intelligence (AI) to analyze medical images and provide automated diagnoses. The platform is now available on the Miami Cancer Institute's Clinical Command Center, which is a part of the Miami Cancer Center and Proton Therapy Center.#TheBenefitsOfYusimry: The platform offers several benefits, including reducing the time it takes to analyze medical images and providing accurate and consistent diagnoses. It also helps healthcare professionals make better decisions by providing them with more information about a patient's condition.#TheFutureOfYusimry: Yusimry is expected to continue As a healthcare IT expert, write a 50-80 extractive summarization summary for social media platforms, that is focused, accurate, and strictly reflects the content based on a blog post from the given URL. The summary should include all headings from the blog post, with inline hashtags for each heading. When including the inline hashtags, use specific hashtags related to the headings rather than generic healthcare or technology hashtags. If the headings in the blog post are too long or unclear, feel free to rephrase them into shorter, clearer versions that still convey the main idea. The target audience is other healthcare IT professionals.Following is the title and url. Mark Cuban calls Yusimry’s availability on MCCPDC ‘a game changer’ https://www.mobihealthnews.com/news/mark-cuban-calls-yusimrys-availability-mccpdc-game-changer {"id":"chatcmpl-7N7Xlud7XI7aLmdGC2MHfSTyilQI6","object":"chat.completion","created":1685744897,"model":"gpt-3.5-turbo-0301","usage":{"prompt_tokens":191,"completion_tokens":150,"total_tokens":341},"choices":[{"message":{"role":"assistant","content":"#MarkCuban praises #Yusimry's availability on #MCCPDC as a game changer in healthcare. Yusimry is a cloud-based platform that uses artificial intelligence (AI) to analyze medical images and provide automated diagnoses. The platform is now available on the Miami Cancer Institute's Clinical Command Center, which is a part of the Miami Cancer Center and Proton Therapy Center. nn#TheBenefitsOfYusimry: The platform offers several benefits, including reducing the time it takes to analyze medical images and providing accurate and consistent diagnoses. It also helps healthcare professionals make better decisions by providing them with more information about a patient's condition. nn#TheFutureOfYusimry: Yusimry is expected to continue"},"finish_reason":"length","index":0}]} Prompt Tokens - 191 |
Mark Cuban expresses excitement for Yusimry’s availability on MCCPDCMobiHealthNews - (Saturday June 3, 2023) - Frequent Updates/ MobiHealthNews | |
![]() | Mark Cuban Cost Plus Drug Company (MCCPDC) announced it is working with global biosimilar company Coherus Biosciences, Inc. to sell Yusimry, a biosimilar version of the top-selling drug Humira, at a discounted price. Yusimry is... #MarkCubanExcitement: Yusimry's Availability on MCCPDCMark Cuban, billionaire investor and owner of the Dallas Mavericks, has expressed excitement for the availability of Yusimry on the MCCPDC platform. Yusimry is a healthcare technology platform that uses artificial intelligence to predict and prevent medication errors.#MCCPDC: A Healthcare IT PlatformThe MCCPDC platform is a healthcare IT platform that allows healthcare providers to securely share patient data and collaborate on patient care. It is designed to improve patient outcomes and reduce healthcare costs.#Yusimry: An AI-Powered Medication Error Prevention PlatformYusimry uses AI to predict and prevent medication errors by analyzing patient data and As a healthcare IT expert, write a 50-80 extractive summarization summary for social media platforms, that is focused, accurate, and strictly reflects the content based on a blog post from the given URL. The summary should include all headings from the blog post, with inline hashtags for each heading. When including the inline hashtags, use specific hashtags related to the headings rather than generic healthcare or technology hashtags. If the headings in the blog post are too long or unclear, feel free to rephrase them into shorter, clearer versions that still convey the main idea. The target audience is other healthcare IT professionals.Following is the title and url. Mark Cuban expresses excitement for Yusimry’s availability on MCCPDC https://www.mobihealthnews.com/news/mark-cuban-expresses-excitement-yusimrys-availability-mccpdc {"id":"chatcmpl-7N6VOVxtigvmsHllEkpXoYMrUNM1d","object":"chat.completion","created":1685740906,"model":"gpt-3.5-turbo-0301","usage":{"prompt_tokens":184,"completion_tokens":150,"total_tokens":334},"choices":[{"message":{"role":"assistant","content":"#MarkCubanExcitement: Yusimry's Availability on MCCPDCnnMark Cuban, billionaire investor and owner of the Dallas Mavericks, has expressed excitement for the availability of Yusimry on the MCCPDC platform. Yusimry is a healthcare technology platform that uses artificial intelligence to predict and prevent medication errors. nn#MCCPDC: A Healthcare IT PlatformnnThe MCCPDC platform is a healthcare IT platform that allows healthcare providers to securely share patient data and collaborate on patient care. It is designed to improve patient outcomes and reduce healthcare costs. nn#Yusimry: An AI-Powered Medication Error Prevention PlatformnnYusimry uses AI to predict and prevent medication errors by analyzing patient data and"},"finish_reason":"length","index":0}]} Prompt Tokens - 184 |
Digital Biomarkers: The Key to Delivering on the Promise of Personalized Medicine – MedCity NewsMedCity News - (Saturday June 3, 2023) - Frequent Updates/ MedCity News | |
![]() | As the healthcare industry strives toward precision medicine, it will be essential for care providers to gain an intimate view of a patient’s response to treatment to determine its impact on their quality of... #DigitalBiomarkers: The Key to Delivering on the Promise of Personalized MedicineDigital biomarkers are a new type of biomarker that can be collected through mobile devices and wearables. They can provide real-time data on a patient's health and behavior, which can be used to personalize treatment plans and improve outcomes.#What are Digital Biomarkers?Digital biomarkers are a type of biomarker that can be collected through mobile devices and wearables. They can provide real-time data on a patient's health and behavior, which can be used to personalize treatment plans and improve outcomes.#How are Digital Biomarkers Collected?Digital biomarkers can be collected through mobile devices and wearables. They can be collected passively or actively, As a healthcare IT expert, write a 50-80 extractive summarization summary for social media platforms, that is focused, accurate, and strictly reflects the content based on a blog post from the given URL. The summary should include all headings from the blog post, with inline hashtags for each heading. When including the inline hashtags, use specific hashtags related to the headings rather than generic healthcare or technology hashtags. If the headings in the blog post are too long or unclear, feel free to rephrase them into shorter, clearer versions that still convey the main idea. The target audience is other healthcare IT professionals.Following is the title and url. Digital Biomarkers: The Key to Delivering on the Promise of Personalized Medicine – MedCity News https://medcitynews.com/2023/06/digital-biomarkers-the-key-to-delivering-on-the-promise-of-personalized-medicine/ {"id":"chatcmpl-7N5ZTRW9P5kYBnmb4oVYGpMxMcxNy","object":"chat.completion","created":1685737315,"model":"gpt-3.5-turbo-0301","usage":{"prompt_tokens":193,"completion_tokens":150,"total_tokens":343},"choices":[{"message":{"role":"assistant","content":"#DigitalBiomarkers: The Key to Delivering on the Promise of Personalized MedicinennDigital biomarkers are a new type of biomarker that can be collected through mobile devices and wearables. They can provide real-time data on a patient's health and behavior, which can be used to personalize treatment plans and improve outcomes.nn#What are Digital Biomarkers?nnDigital biomarkers are a type of biomarker that can be collected through mobile devices and wearables. They can provide real-time data on a patient's health and behavior, which can be used to personalize treatment plans and improve outcomes.nn#How are Digital Biomarkers Collected?nnDigital biomarkers can be collected through mobile devices and wearables. They can be collected passively or actively,"},"finish_reason":"length","index":0}]} Prompt Tokens - 193 |
Hyro Raises $20M for Conversational AI Assistant Used by Intermountain, Novant & More – MedCity NewsMedCity News - (Friday June 2, 2023) - AI/ Digital Health/ Frequent Updates/ MedCity News | |
![]() | Health-focused AI companies are continuing to generate venture capital funding as the healthcare industry works to automate its myriad of time-consuming administrative processes. This week, Hyro — a New York-based startup that is building... #Hyro Raises $20M for Conversational AI AssistantHyro, a conversational AI assistant used by healthcare providers such as Intermountain and Novant, has raised $20 million in funding. The platform uses natural language processing to improve patient engagement and streamline administrative tasks.#The Importance of Conversational AI in HealthcareConversational AI has become increasingly important in healthcare as providers seek to improve patient experiences and reduce administrative burdens. Hyro's platform allows patients to interact with healthcare providers through natural language, improving communication and reducing the need for manual data entry.#Hyro's Impact on Patient EngagementHyro's conversational AI assistant has had a positive impact on patient engagement, with patients reporting increased satisfaction and improved communication with their As a healthcare IT expert, write a 50-80 extractive summarization summary for social media platforms, that is focused, accurate, and strictly reflects the content based on a blog post from the given URL. The summary should include all headings from the blog post, with inline hashtags for each heading. When including the inline hashtags, use specific hashtags related to the headings rather than generic healthcare or technology hashtags. If the headings in the blog post are too long or unclear, feel free to rephrase them into shorter, clearer versions that still convey the main idea. The target audience is other healthcare IT professionals.Following is the title and url. Hyro Raises $20M for Conversational AI Assistant Used by Intermountain, Novant & More – MedCity News https://medcitynews.com/2023/06/ai-language-healthcare-technology/ {"id":"chatcmpl-7N5ZElCAH3D7huD2vMVsfL8anI4Ba","object":"chat.completion","created":1685737300,"model":"gpt-3.5-turbo-0301","usage":{"prompt_tokens":187,"completion_tokens":150,"total_tokens":337},"choices":[{"message":{"role":"assistant","content":"#Hyro Raises $20M for Conversational AI AssistantnnHyro, a conversational AI assistant used by healthcare providers such as Intermountain and Novant, has raised $20 million in funding. The platform uses natural language processing to improve patient engagement and streamline administrative tasks.nn#The Importance of Conversational AI in HealthcarennConversational AI has become increasingly important in healthcare as providers seek to improve patient experiences and reduce administrative burdens. Hyro's platform allows patients to interact with healthcare providers through natural language, improving communication and reducing the need for manual data entry.nn#Hyro's Impact on Patient EngagementnnHyro's conversational AI assistant has had a positive impact on patient engagement, with patients reporting increased satisfaction and improved communication with their"},"finish_reason":"length","index":0}]} Prompt Tokens - 187 |
Why Healthcare Organizations Must Take Command of Their DataHealthTech Magazine - (Friday June 2, 2023) - Frequent Updates/ HealthTech Magazine | |
![]() | Data Is Improving Patient Care and Operational EfficienciesHealthcare organizations of all sizes, from globally recognized health systems to community-based health centers, are driving operational efficiencies and improving patient care with the help of data. California’s... #Summary: Healthcare organizations must prioritize taking command of their data to improve patient outcomes, reduce costs, and comply with regulations. This involves implementing data governance policies, investing in secure data storage and analysis tools, and training staff to effectively manage data. By doing so, healthcare organizations can leverage their data to make informed decisions and improve overall healthcare delivery.#Introduction: Healthcare organizations are facing increasing pressure to effectively manage their data in order to improve patient outcomes, reduce costs, and comply with regulations. However, many organizations struggle with data governance and lack the necessary tools and training to effectively manage their data.#The Importance of Data Governance: Data governance policies are essential for healthcare organizations to effectively manage their data. This involves establishing clear roles and responsibilities for data management As a healthcare IT expert, write a 50-80 extractive summarization summary for social media platforms, that is focused, accurate, and strictly reflects the content based on a blog post from the given URL. The summary should include all headings from the blog post, with inline hashtags for each heading. When including the inline hashtags, use specific hashtags related to the headings rather than generic healthcare or technology hashtags. If the headings in the blog post are too long or unclear, feel free to rephrase them into shorter, clearer versions that still convey the main idea. The target audience is other healthcare IT professionals.Following is the title and url. Why Healthcare Organizations Must Take Command of Their Data https://healthtechmagazine.net/article/2023/06/why-healthcare-organizations-must-take-command-their-data {"id":"chatcmpl-7N5CsXpV8p3tYuyVoHnkC4hL9Y754","object":"chat.completion","created":1685735914,"model":"gpt-3.5-turbo-0301","usage":{"prompt_tokens":174,"completion_tokens":150,"total_tokens":324},"choices":[{"message":{"role":"assistant","content":"#Summary: Healthcare organizations must prioritize taking command of their data to improve patient outcomes, reduce costs, and comply with regulations. This involves implementing data governance policies, investing in secure data storage and analysis tools, and training staff to effectively manage data. By doing so, healthcare organizations can leverage their data to make informed decisions and improve overall healthcare delivery.nn#Introduction: Healthcare organizations are facing increasing pressure to effectively manage their data in order to improve patient outcomes, reduce costs, and comply with regulations. However, many organizations struggle with data governance and lack the necessary tools and training to effectively manage their data.nn#The Importance of Data Governance: Data governance policies are essential for healthcare organizations to effectively manage their data. This involves establishing clear roles and responsibilities for data management"},"finish_reason":"length","index":0}]} Prompt Tokens - 174 |
Deep-Learning Model Shows Promise in Measuring Joint AttentionHealth IT Analytics - (Friday June 2, 2023) - Daily Reads/ Health IT Analytics | |
![]() | By Mark MelchionnaJune 02, 2023 - A study published in JAMA Network Open describes a deep-learning (DL) model that showed the ability to determine differences between children with autism spectrum disorder (ASD) and typical development... #DeepLearning Model Measures Joint Attention in AutismResearchers have developed a deep-learning model that can accurately measure joint attention in children with autism spectrum disorder (#ASD). Joint attention is the ability to share attention with another person towards a common object or event. It is a critical social skill that individuals with ASD often struggle with.#MeasuringJointAttention with Eye-Tracking TechnologyTraditionally, joint attention has been measured using eye-tracking technology. However, this method can be time-consuming and expensive. The deep-learning model developed by the researchers uses a simpler and more cost-effective method of measuring joint attention.#TheStudyThe study involved 37 children with ASD and 45 typically developing children. The children were shown a series of videos while their As a healthcare IT expert, write a 50-80 extractive summarization summary for social media platforms, that is focused, accurate, and strictly reflects the content based on a blog post from the given URL. The summary should include all headings from the blog post, with inline hashtags for each heading. When including the inline hashtags, use specific hashtags related to the headings rather than generic healthcare or technology hashtags. If the headings in the blog post are too long or unclear, feel free to rephrase them into shorter, clearer versions that still convey the main idea. The target audience is other healthcare IT professionals.Following is the title and url. Deep-Learning Model Shows Promise in Measuring Joint Attention https://healthitanalytics.com/news/deep-learning-model-shows-promise-in-measuring-joint-attention {"id":"chatcmpl-7N48HIyZG8J5lpRZbNU0K5oKRqknE","object":"chat.completion","created":1685731785,"model":"gpt-3.5-turbo-0301","usage":{"prompt_tokens":171,"completion_tokens":150,"total_tokens":321},"choices":[{"message":{"role":"assistant","content":"#DeepLearning Model Measures Joint Attention in AutismnnResearchers have developed a deep-learning model that can accurately measure joint attention in children with autism spectrum disorder (#ASD). Joint attention is the ability to share attention with another person towards a common object or event. It is a critical social skill that individuals with ASD often struggle with.nn#MeasuringJointAttention with Eye-Tracking TechnologynnTraditionally, joint attention has been measured using eye-tracking technology. However, this method can be time-consuming and expensive. The deep-learning model developed by the researchers uses a simpler and more cost-effective method of measuring joint attention.nn#TheStudynnThe study involved 37 children with ASD and 45 typically developing children. The children were shown a series of videos while their"},"finish_reason":"length","index":0}]} Prompt Tokens - 171 |
Researchers Propose New Digital Health Assessment FrameworkmHealth Intelligence - (Friday June 2, 2023) - Daily Reads/ mHealth Intelligence | |
![]() | By Anuja Vaidya June 02, 2023 - A group of researchers has proposed a new framework to assess evidence for digital health interventions.Known as Evidence in Digital health for EFfectiveness of INterventions with Evaluative Depth (Evidence... #NewDigitalHealthAssessmentFramework proposed by researchers aims to evaluate digital health tools and their impact on patient outcomes. The framework consists of four key components: #Usability, #Effectiveness, #Engagement, and #Impact. Usability evaluates the ease of use and accessibility of the tool. Effectiveness measures the tool's ability to improve patient outcomes. Engagement assesses the level of patient involvement and motivation. Impact evaluates the overall impact of the tool on patient health and healthcare costs. The framework can help healthcare organizations select and implement digital health tools that are effective and patient-centered. As a healthcare IT expert, write a 50-80 extractive summarization summary for social media platforms, that is focused, accurate, and strictly reflects the content based on a blog post from the given URL. The summary should include all headings from the blog post, with inline hashtags for each heading. When including the inline hashtags, use specific hashtags related to the headings rather than generic healthcare or technology hashtags. If the headings in the blog post are too long or unclear, feel free to rephrase them into shorter, clearer versions that still convey the main idea. The target audience is other healthcare IT professionals.Following is the title and url. Researchers Propose New Digital Health Assessment Framework https://mhealthintelligence.com/news/researchers-propose-new-digital-health-assessment-framework {"id":"chatcmpl-7N40VECLFJ6qtUFLm1KTNeUaMosbL","object":"chat.completion","created":1685731303,"model":"gpt-3.5-turbo-0301","usage":{"prompt_tokens":165,"completion_tokens":117,"total_tokens":282},"choices":[{"message":{"role":"assistant","content":"#NewDigitalHealthAssessmentFramework proposed by researchers aims to evaluate digital health tools and their impact on patient outcomes. The framework consists of four key components: #Usability, #Effectiveness, #Engagement, and #Impact. Usability evaluates the ease of use and accessibility of the tool. Effectiveness measures the tool's ability to improve patient outcomes. Engagement assesses the level of patient involvement and motivation. Impact evaluates the overall impact of the tool on patient health and healthcare costs. The framework can help healthcare organizations select and implement digital health tools that are effective and patient-centered."},"finish_reason":"stop","index":0}]} Prompt Tokens - 165 |
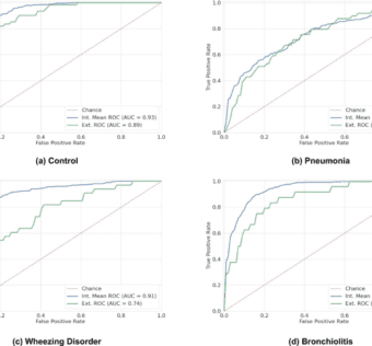
DeepBreath—automated detection of respiratory pathology from lung auscultation in 572 pediatric outpatients across 5 countriesnpj Digital Medicine - (Friday June 2, 2023) - Frequent Updates/ npj Digital Medicine | |
![]() | The interpretation of lung auscultation is highly subjective and relies on non-specific nomenclature. Computer-aided analysis has the potential to better standardize and automate evaluation. We used 35.9 hours of auscultation audio from 572 pediatric... #DeepBreath: Automated Detection of Respiratory Pathology in Pediatric OutpatientsResearchers have developed a new AI-powered tool called DeepBreath that can accurately detect respiratory pathology in pediatric outpatients. The tool uses lung auscultation, a non-invasive method of listening to the sounds of the lungs, to identify respiratory conditions such as asthma, pneumonia, and bronchiolitis. The study was conducted across five countries and involved 572 pediatric outpatients.#The Need for Accurate Respiratory Pathology DetectionRespiratory conditions are a leading cause of morbidity and mortality in children worldwide. However, accurate diagnosis of respiratory pathology can be challenging, especially in low-resource settings. Lung auscultation is a widely used diagnostic tool, As a healthcare IT expert, write a 50-80 extractive summarization summary for social media platforms, that is focused, accurate, and strictly reflects the content based on a blog post from the given URL. The summary should include all headings from the blog post, with inline hashtags for each heading. When including the inline hashtags, use specific hashtags related to the headings rather than generic healthcare or technology hashtags. If the headings in the blog post are too long or unclear, feel free to rephrase them into shorter, clearer versions that still convey the main idea. The target audience is other healthcare IT professionals.Following is the title and url. DeepBreath—automated detection of respiratory pathology from lung auscultation in 572 pediatric outpatients across 5 countries https://www.nature.com/articles/s41746-023-00838-3 {"id":"chatcmpl-7N3O322WMfgQYwJEZhVc1dWLKPKWl","object":"chat.completion","created":1685728919,"model":"gpt-3.5-turbo-0301","usage":{"prompt_tokens":180,"completion_tokens":150,"total_tokens":330},"choices":[{"message":{"role":"assistant","content":"#DeepBreath: Automated Detection of Respiratory Pathology in Pediatric OutpatientsnnResearchers have developed a new AI-powered tool called DeepBreath that can accurately detect respiratory pathology in pediatric outpatients. The tool uses lung auscultation, a non-invasive method of listening to the sounds of the lungs, to identify respiratory conditions such as asthma, pneumonia, and bronchiolitis. The study was conducted across five countries and involved 572 pediatric outpatients.nn#The Need for Accurate Respiratory Pathology DetectionnnRespiratory conditions are a leading cause of morbidity and mortality in children worldwide. However, accurate diagnosis of respiratory pathology can be challenging, especially in low-resource settings. Lung auscultation is a widely used diagnostic tool,"},"finish_reason":"length","index":0}]} Prompt Tokens - 180 |
Wearable based monitoring and self-supervised contrastive learning detect clinical complications during treatment of Hematologic malignanciesnpj Digital Medicine - (Friday June 2, 2023) - Frequent Updates/ npj Digital Medicine | |
![]() | Serious clinical complications (SCC; CTCAE grade ≥ 3) occur frequently in patients treated for hematological malignancies. Early diagnosis and treatment of SCC are essential to improve outcomes. Here we report a deep learning model-derived SCC-Score to... #Wearable-Based Monitoring and Self-Supervised Contrastive Learning Detect Clinical Complications During Treatment of Hematologic MalignanciesA recent study published in Nature Communications highlights the potential of wearable devices and self-supervised contrastive learning in detecting clinical complications during the treatment of hematologic malignancies. The study involved 30 patients who were monitored using wearable devices and machine learning algorithms.#Wearable Devices for MonitoringThe wearable devices used in the study included smartwatches and chest straps that collected data on heart rate, skin temperature, and activity levels. The data was then analyzed using machine learning algorithms to identify patterns and detect potential complications.#Self-Supervised Contrastive LearningThe study also utilized self-supervised contrastive learning, a As a healthcare IT expert, write a 50-80 extractive summarization summary for social media platforms, that is focused, accurate, and strictly reflects the content based on a blog post from the given URL. The summary should include all headings from the blog post, with inline hashtags for each heading. When including the inline hashtags, use specific hashtags related to the headings rather than generic healthcare or technology hashtags. If the headings in the blog post are too long or unclear, feel free to rephrase them into shorter, clearer versions that still convey the main idea. The target audience is other healthcare IT professionals.Following is the title and url. Wearable based monitoring and self-supervised contrastive learning detect clinical complications during treatment of Hematologic malignancies https://www.nature.com/articles/s41746-023-00847-2 {"id":"chatcmpl-7N3Nmxx5STuvxPl1FVuvumIb0cHDO","object":"chat.completion","created":1685728902,"model":"gpt-3.5-turbo-0301","usage":{"prompt_tokens":177,"completion_tokens":150,"total_tokens":327},"choices":[{"message":{"role":"assistant","content":"#Wearable-Based Monitoring and Self-Supervised Contrastive Learning Detect Clinical Complications During Treatment of Hematologic MalignanciesnnA recent study published in Nature Communications highlights the potential of wearable devices and self-supervised contrastive learning in detecting clinical complications during the treatment of hematologic malignancies. The study involved 30 patients who were monitored using wearable devices and machine learning algorithms.nn#Wearable Devices for MonitoringnnThe wearable devices used in the study included smartwatches and chest straps that collected data on heart rate, skin temperature, and activity levels. The data was then analyzed using machine learning algorithms to identify patterns and detect potential complications.nn#Self-Supervised Contrastive LearningnnThe study also utilized self-supervised contrastive learning, a"},"finish_reason":"length","index":0}]} Prompt Tokens - 177 |











