ChatGPT Summaries
These 3 Things Must Change for Hospital Cybersecurity to Improve – MedCity NewsMedCity News - (Sunday June 16, 2024) - Frequent Updates/ MedCity News | |
![]() | Cybercriminals across the globe continue to target healthcare organizations, exploiting any vulnerability they can. Healthcare entities are still struggling to protect themselves against these hackers, whose tactics are getting more sophisticated by the day. Below... Title: These 3 Things Must Change for Hospital Cybersecurity to Improve#Current Challenges in Hospital Cybersecurity Hospitals face numerous challenges in maintaining strong cybersecurity measures, including outdated systems, lack of resources, and increasing cyber threats.#The Need for Comprehensive Risk Assessments Comprehensive risk assessments are essential for hospitals to identify vulnerabilities, prioritize security measures, and protect sensitive patient data from cyber attacks.#Importance of Staff Training and Awareness Staff training and awareness programs are crucial for educating employees about cybersecurity best practices, recognizing potential threats, and preventing data breaches.#Implementing Multi-Factor Authentication Implementing multi-factor authentication can significantly enhance hospital cybersecurity by adding an extra layer of protection against unauthorized access to sensitive information.#Conclusion As a healthcare IT expert, write a 50-80 extractive summarization summary for social media platforms, that is focused, accurate, and strictly reflects the content based on a blog post from the given URL. The summary should include all headings from the blog post, with inline hashtags for each heading. When including the inline hashtags, use specific hashtags related to the headings rather than generic healthcare or technology hashtags. If the headings in the blog post are too long or unclear, feel free to rephrase them into shorter, clearer versions that still convey the main idea. The target audience is other healthcare IT professionals.Following is the title and url. These 3 Things Must Change for Hospital Cybersecurity to Improve – MedCity News https://medcitynews.com/2024/06/cybersecurity-hospital-healthcare/ { "id": "chatcmpl-9aoSY40iWt4ue9z9LQHLBs4gxBUh7", "object": "chat.completion", "created": 1718560802, "model": "gpt-3.5-turbo-0125", "choices": [ { "index": 0, "message": { "role": "assistant", "content": "Title: These 3 Things Must Change for Hospital Cybersecurity to Improvenn#Current Challenges in Hospital CybersecuritynHospitals face numerous challenges in maintaining strong cybersecurity measures, including outdated systems, lack of resources, and increasing cyber threats.nn#The Need for Comprehensive Risk AssessmentsnComprehensive risk assessments are essential for hospitals to identify vulnerabilities, prioritize security measures, and protect sensitive patient data from cyber attacks.nn#Importance of Staff Training and AwarenessnStaff training and awareness programs are crucial for educating employees about cybersecurity best practices, recognizing potential threats, and preventing data breaches.nn#Implementing Multi-Factor AuthenticationnImplementing multi-factor authentication can significantly enhance hospital cybersecurity by adding an extra layer of protection against unauthorized access to sensitive information.nn#Conclusionn" }, "logprobs": null, "finish_reason": "length" } ], "usage": { "prompt_tokens": 176, "completion_tokens": 150, "total_tokens": 326 }, "system_fingerprint": null } Prompt Tokens - 176 |
Monday Morning Update 6/17/24 – HIStalkHIStalk - (Sunday June 16, 2024) - Daily Reads/ HIStalk | |
![]() | Top NewsAscension restores EHR access across its organization, although it once again warns patients that it is still back-entering data that was collected manually since the May 8 ransomware attack. Remediation of other systems... #HealthcareNews: The latest updates in healthcare technology and industry trends are discussed in this week's Monday Morning Update. Stay informed on the latest developments in the healthcare IT sector. #HealthIT#EHRUpdates: Electronic Health Record (EHR) systems are constantly evolving to meet the needs of healthcare providers. Learn about the latest updates and enhancements in EHR technology. #EHR #HealthTech#TelehealthTrends: Telehealth continues to gain popularity as a convenient way for patients to access healthcare services remotely. Discover the latest trends and innovations in telehealth technology. #Telemedicine #VirtualCare#CybersecurityAlert: Cybersecurity threats are a growing concern in the healthcare industry. Stay up to date on the As a healthcare IT expert, write a 50-80 extractive summarization summary for social media platforms, that is focused, accurate, and strictly reflects the content based on a blog post from the given URL. The summary should include all headings from the blog post, with inline hashtags for each heading. When including the inline hashtags, use specific hashtags related to the headings rather than generic healthcare or technology hashtags. If the headings in the blog post are too long or unclear, feel free to rephrase them into shorter, clearer versions that still convey the main idea. The target audience is other healthcare IT professionals.Following is the title and url. Monday Morning Update 6/17/24 – HIStalk https://histalk2.com/2024/06/16/monday-morning-update-6-17-24/ { "id": "chatcmpl-9aleNj5d3dPIGHfznkW1klzjRvuP1", "object": "chat.completion", "created": 1718550003, "model": "gpt-3.5-turbo-0125", "choices": [ { "index": 0, "message": { "role": "assistant", "content": "#HealthcareNews:nThe latest updates in healthcare technology and industry trends are discussed in this week's Monday Morning Update. Stay informed on the latest developments in the healthcare IT sector. #HealthITnn#EHRUpdates:nElectronic Health Record (EHR) systems are constantly evolving to meet the needs of healthcare providers. Learn about the latest updates and enhancements in EHR technology. #EHR #HealthTechnn#TelehealthTrends:nTelehealth continues to gain popularity as a convenient way for patients to access healthcare services remotely. Discover the latest trends and innovations in telehealth technology. #Telemedicine #VirtualCarenn#CybersecurityAlert:nCybersecurity threats are a growing concern in the healthcare industry. Stay up to date on the" }, "logprobs": null, "finish_reason": "length" } ], "usage": { "prompt_tokens": 176, "completion_tokens": 150, "total_tokens": 326 }, "system_fingerprint": null } Prompt Tokens - 176 |
Learn about the elephant in the waiting room #shortsHealthcare IT Today - (Sunday June 16, 2024) - Healthcare IT Today/ Videos | |
![]() | #JohnLynn #HealthITDemos #HealthcareITDemos #DessireePaoli #EHRForms #EHRIntegrations #EllieSilver #HealthcareConsentForms #HealthcareDigitalSignatures #HealthcareForms #healthcareitvideointerviews #HealthcareSceneFeatured #HIMSS #HIMSS2024 #HIMSS24 #InterlaceHealth... Summary:#Introduction The blog post discusses the "elephant in the waiting room," which refers to the issue of patient wait times in healthcare facilities.#Importance of Patient Wait Times Patient wait times can have a significant impact on patient satisfaction, outcomes, and overall experience with healthcare services.#Factors Contributing to Long Wait Times Several factors contribute to long wait times in healthcare facilities, including inefficient processes, overbooking, and lack of communication.#Impact on Healthcare IT Healthcare IT systems play a crucial role in addressing patient wait times by streamlining processes, improving communication, and optimizing scheduling.#Strategies to Reduce Wait Times Implementing strategies such as telemedicine, online appointment scheduling, and automated patient reminders can help reduce As a healthcare IT expert, write a 50-80 extractive summarization summary for social media platforms, that is focused, accurate, and strictly reflects the content based on a blog post from the given URL. The summary should include all headings from the blog post, with inline hashtags for each heading. When including the inline hashtags, use specific hashtags related to the headings rather than generic healthcare or technology hashtags. If the headings in the blog post are too long or unclear, feel free to rephrase them into shorter, clearer versions that still convey the main idea. The target audience is other healthcare IT professionals.Following is the title and url. Learn about the elephant in the waiting room #shorts https://www.youtube.com/watch?v=Joxld9qYv9I { "id": "chatcmpl-9aZmvvuMRGxLcGNy186nyjSrcw9Pk", "object": "chat.completion", "created": 1718504405, "model": "gpt-3.5-turbo-0125", "choices": [ { "index": 0, "message": { "role": "assistant", "content": "Summary:nn#IntroductionnThe blog post discusses the "elephant in the waiting room," which refers to the issue of patient wait times in healthcare facilities.nn#Importance of Patient Wait TimesnPatient wait times can have a significant impact on patient satisfaction, outcomes, and overall experience with healthcare services.nn#Factors Contributing to Long Wait TimesnSeveral factors contribute to long wait times in healthcare facilities, including inefficient processes, overbooking, and lack of communication.nn#Impact on Healthcare ITnHealthcare IT systems play a crucial role in addressing patient wait times by streamlining processes, improving communication, and optimizing scheduling.nn#Strategies to Reduce Wait TimesnImplementing strategies such as telemedicine, online appointment scheduling, and automated patient reminders can help reduce" }, "logprobs": null, "finish_reason": "length" } ], "usage": { "prompt_tokens": 165, "completion_tokens": 150, "total_tokens": 315 }, "system_fingerprint": null } Prompt Tokens - 165 |
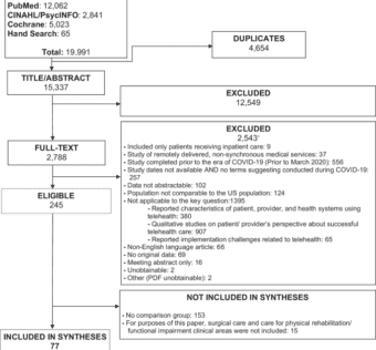
Effectiveness of telehealth versus in-person care during the COVID-19 pandemic: a systematic reviewnpj Digital Medicine - (Saturday June 15, 2024) - Frequent Updates/ npj Digital Medicine | |
![]() | In this systematic review, we compared the effectiveness of telehealth with in-person care during the pandemic using PubMed, CINAHL, PsycINFO, and the Cochrane Central Register of Controlled Trials from March 2020 to April 2023.... Summary:#Telehealth vs In-Person Care during COVID-19 A systematic review was conducted to compare the effectiveness of telehealth and in-person care during the COVID-19 pandemic.#Methodology The study analyzed various factors such as patient outcomes, satisfaction, and cost-effectiveness to determine the efficacy of telehealth compared to traditional in-person care.#Patient Outcomes Telehealth was found to be equally effective as in-person care in terms of patient outcomes, including clinical improvements and disease management.#Patient Satisfaction Patients reported high levels of satisfaction with telehealth services, citing convenience, accessibility, and reduced travel time as key advantages.#Cost-Effectiveness Telehealth was shown to be a cost-effective alternative to in-person care As a healthcare IT expert, write a 50-80 extractive summarization summary for social media platforms, that is focused, accurate, and strictly reflects the content based on a blog post from the given URL. The summary should include all headings from the blog post, with inline hashtags for each heading. When including the inline hashtags, use specific hashtags related to the headings rather than generic healthcare or technology hashtags. If the headings in the blog post are too long or unclear, feel free to rephrase them into shorter, clearer versions that still convey the main idea. The target audience is other healthcare IT professionals.Following is the title and url. Effectiveness of telehealth versus in-person care during the COVID-19 pandemic: a systematic review https://www.nature.com/articles/s41746-024-01152-2 { "id": "chatcmpl-9aSIPjIRZXaks57HNX9qOUH3WvQrm", "object": "chat.completion", "created": 1718475605, "model": "gpt-3.5-turbo-0125", "choices": [ { "index": 0, "message": { "role": "assistant", "content": "Summary:nn#Telehealth vs In-Person Care during COVID-19nA systematic review was conducted to compare the effectiveness of telehealth and in-person care during the COVID-19 pandemic.nn#MethodologynThe study analyzed various factors such as patient outcomes, satisfaction, and cost-effectiveness to determine the efficacy of telehealth compared to traditional in-person care.nn#Patient OutcomesnTelehealth was found to be equally effective as in-person care in terms of patient outcomes, including clinical improvements and disease management.nn#Patient SatisfactionnPatients reported high levels of satisfaction with telehealth services, citing convenience, accessibility, and reduced travel time as key advantages.nn#Cost-EffectivenessnTelehealth was shown to be a cost-effective alternative to in-person care" }, "logprobs": null, "finish_reason": "length" } ], "usage": { "prompt_tokens": 173, "completion_tokens": 150, "total_tokens": 323 }, "system_fingerprint": null } Prompt Tokens - 173 |
Achieving and sustaining excellent results with Aveli Cellulite treatmenteHealth Radio Network - (Saturday June 15, 2024) - eHealth Radio Network/ Podcasts | |
![]() | Dr. Stephanie Teotia, a distinguished board-certified plastic and reconstructive surgeon from Flower Mound, TX who serves patients in the Dallas area again joins eHealth Radio and the Plastic Surgery Information Channel. Dr. Teotia lends her... #AveliCelluliteTreatment: A Revolutionary Approach In this podcast episode, experts discuss the innovative Aveli Cellulite treatment and how it is transforming the way cellulite is treated in the healthcare industry. They delve into the science behind the treatment and how it achieves excellent results for patients.#UnderstandingCellulite: The Basics The experts explain the basics of cellulite, including what it is, how it forms, and why it can be challenging to treat effectively. They highlight the importance of understanding the underlying causes of cellulite to develop successful treatment strategies.#TheScienceBehindAveli: How It Works Listeners learn about the science behind the Aveli Cellulite treatment and how it targets cellulite at As a healthcare IT expert, write a 50-80 extractive summarization summary for social media platforms, that is focused, accurate, and strictly reflects the content based on a blog post from the given URL. The summary should include all headings from the blog post, with inline hashtags for each heading. When including the inline hashtags, use specific hashtags related to the headings rather than generic healthcare or technology hashtags. If the headings in the blog post are too long or unclear, feel free to rephrase them into shorter, clearer versions that still convey the main idea. The target audience is other healthcare IT professionals.Following is the title and url. Achieving and sustaining excellent results with Aveli Cellulite treatment https://ehealthradio.podbean.com/e/achieving-and-sustaining-excellent-results-with-aveli-cellulite-treatment/ { "id": "chatcmpl-9aembufkAxnGdYEC74zwRskV1Hxxt", "object": "chat.completion", "created": 1718523605, "model": "gpt-3.5-turbo-0125", "choices": [ { "index": 0, "message": { "role": "assistant", "content": "#AveliCelluliteTreatment: A Revolutionary ApproachnIn this podcast episode, experts discuss the innovative Aveli Cellulite treatment and how it is transforming the way cellulite is treated in the healthcare industry. They delve into the science behind the treatment and how it achieves excellent results for patients.nn#UnderstandingCellulite: The BasicsnThe experts explain the basics of cellulite, including what it is, how it forms, and why it can be challenging to treat effectively. They highlight the importance of understanding the underlying causes of cellulite to develop successful treatment strategies.nn#TheScienceBehindAveli: How It WorksnListeners learn about the science behind the Aveli Cellulite treatment and how it targets cellulite at" }, "logprobs": null, "finish_reason": "length" } ], "usage": { "prompt_tokens": 181, "completion_tokens": 150, "total_tokens": 331 }, "system_fingerprint": null } Prompt Tokens - 181 |
Exergaming and cognitive functions in people with mild cognitive impairment and dementia: a meta-analysisnpj Digital Medicine - (Saturday June 15, 2024) - Frequent Updates/ npj Digital Medicine | |
![]() | Exergaming is a combination of exercise and gaming. Evidence shows an association between exercise and cognition in older people. However, previous studies showed inconsistent results on the cognitive benefits of exergaming in people with... Title: Exergaming and Cognitive Functions in Mild Cognitive Impairment and Dementia#Introduction: Exergaming can benefit cognitive functions in individuals with mild cognitive impairment and dementia by combining physical activity with cognitive challenges.#Methods: A meta-analysis was conducted to evaluate the impact of exergaming on cognitive functions in this population.#Results: The results showed a significant improvement in cognitive functions among individuals with mild cognitive impairment and dementia who engaged in exergaming.#Discussion: Exergaming could be a valuable intervention for improving cognitive functions in this population and should be further explored in clinical settings.#Conclusion: Exergaming shows promise as a non-pharmacological intervention for enhancing cognitive functions in individuals with mild cognitive impairment and dementia. As a healthcare IT expert, write a 50-80 extractive summarization summary for social media platforms, that is focused, accurate, and strictly reflects the content based on a blog post from the given URL. The summary should include all headings from the blog post, with inline hashtags for each heading. When including the inline hashtags, use specific hashtags related to the headings rather than generic healthcare or technology hashtags. If the headings in the blog post are too long or unclear, feel free to rephrase them into shorter, clearer versions that still convey the main idea. The target audience is other healthcare IT professionals.Following is the title and url. Exergaming and cognitive functions in people with mild cognitive impairment and dementia: a meta-analysis https://www.nature.com/articles/s41746-024-01142-4 { "id": "chatcmpl-9aNIhkyvX8DvvYNbHxbBPYyCi4VPP", "object": "chat.completion", "created": 1718456403, "model": "gpt-3.5-turbo-0125", "choices": [ { "index": 0, "message": { "role": "assistant", "content": "Title: Exergaming and Cognitive Functions in Mild Cognitive Impairment and Dementiann#Introduction:nExergaming can benefit cognitive functions in individuals with mild cognitive impairment and dementia by combining physical activity with cognitive challenges. nn#Methods:nA meta-analysis was conducted to evaluate the impact of exergaming on cognitive functions in this population.nn#Results:nThe results showed a significant improvement in cognitive functions among individuals with mild cognitive impairment and dementia who engaged in exergaming.nn#Discussion:nExergaming could be a valuable intervention for improving cognitive functions in this population and should be further explored in clinical settings.nn#Conclusion:nExergaming shows promise as a non-pharmacological intervention for enhancing cognitive functions in individuals with mild cognitive impairment and dementia.nn" }, "logprobs": null, "finish_reason": "length" } ], "usage": { "prompt_tokens": 172, "completion_tokens": 150, "total_tokens": 322 }, "system_fingerprint": null } Prompt Tokens - 172 |
How do providers tackle the challenge around the non-standardization of data today? #shortsHealthcare IT Today - (Saturday June 15, 2024) - Healthcare IT Today/ Videos | |
![]() | #johnlynn #healthcareai #healthcareautomation #healthcareitvideointerviews #healthcarellms #healthcarescenefeatured #payerdirectory #payermapping #rcm #rcmai #rcmautomation #revenuecyclemanagement #stuartnewsome #infinx... Summary: Healthcare providers face challenges due to non-standardized data in the industry. To address this issue, they can implement interoperable systems, utilize data standards, and engage in collaborative efforts with other organizations. By adopting these strategies, providers can improve data quality, streamline workflows, and enhance patient care.#InteroperableSystems: Implementing interoperable systems allows healthcare providers to seamlessly exchange data across different platforms and systems. This promotes data standardization and enhances communication between healthcare entities.#DataStandards: Utilizing data standards helps ensure consistency and accuracy in healthcare data. By adhering to established standards such as HL7 and FHIR, providers can improve data quality and facilitate interoperability.#CollaborativeEfforts: Engaging in collaborative As a healthcare IT expert, write a 50-80 extractive summarization summary for social media platforms, that is focused, accurate, and strictly reflects the content based on a blog post from the given URL. The summary should include all headings from the blog post, with inline hashtags for each heading. When including the inline hashtags, use specific hashtags related to the headings rather than generic healthcare or technology hashtags. If the headings in the blog post are too long or unclear, feel free to rephrase them into shorter, clearer versions that still convey the main idea. The target audience is other healthcare IT professionals.Following is the title and url. How do providers tackle the challenge around the non-standardization of data today? #shorts https://www.youtube.com/watch?v=esz024cowjI { "id": "chatcmpl-9aBRGICHJGX29iinzLaJ744h6wRjb", "object": "chat.completion", "created": 1718410806, "model": "gpt-3.5-turbo-0125", "choices": [ { "index": 0, "message": { "role": "assistant", "content": "Summary:nHealthcare providers face challenges due to non-standardized data in the industry. To address this issue, they can implement interoperable systems, utilize data standards, and engage in collaborative efforts with other organizations. By adopting these strategies, providers can improve data quality, streamline workflows, and enhance patient care.nn#InteroperableSystems:nImplementing interoperable systems allows healthcare providers to seamlessly exchange data across different platforms and systems. This promotes data standardization and enhances communication between healthcare entities.nn#DataStandards:nUtilizing data standards helps ensure consistency and accuracy in healthcare data. By adhering to established standards such as HL7 and FHIR, providers can improve data quality and facilitate interoperability.nn#CollaborativeEfforts:nEngaging in collaborative" }, "logprobs": null, "finish_reason": "length" } ], "usage": { "prompt_tokens": 168, "completion_tokens": 150, "total_tokens": 318 }, "system_fingerprint": null } Prompt Tokens - 168 |
Wheel’s New AI Platform Seeks to Power the New Era of Virtual Care – MedCity NewsMedCity News - (Friday June 14, 2024) - AI/ Frequent Updates/ MedCity News | |
![]() | Judging from this year’s headlines, one may conclude that 2024 has been a challenging year for virtual care companies. Optum closed its virtual care business in April, Walmart shut down its virtual care offering... #Introduction Wheel, a healthcare technology company, has developed a new AI platform to support the growing trend of virtual care in the healthcare industry. This platform aims to revolutionize telehealth services and enhance patient care.#Features of Wheel's AI Platform The AI platform from Wheel offers various features to support virtual care, including advanced data analytics, personalized patient engagement tools, and seamless integration with existing healthcare systems.#Benefits of Using Wheel's AI Platform Healthcare providers can benefit from using Wheel's AI platform by improving patient outcomes, increasing efficiency in delivering care, and reducing healthcare costs. This platform also enables better communication and collaboration among healthcare teams.#Integration with Telehealth Services Wheel's AI platform seamlessly integrates with telehealth services, allowing healthcare As a healthcare IT expert, write a 50-80 extractive summarization summary for social media platforms, that is focused, accurate, and strictly reflects the content based on a blog post from the given URL. The summary should include all headings from the blog post, with inline hashtags for each heading. When including the inline hashtags, use specific hashtags related to the headings rather than generic healthcare or technology hashtags. If the headings in the blog post are too long or unclear, feel free to rephrase them into shorter, clearer versions that still convey the main idea. The target audience is other healthcare IT professionals.Following is the title and url. Wheel’s New AI Platform Seeks to Power the New Era of Virtual Care – MedCity News https://medcitynews.com/2024/06/virtual-care-telehealth/ { "id": "chatcmpl-9a74GmZVjvQioENOdTTuvcG8wZJJ3", "object": "chat.completion", "created": 1718394004, "model": "gpt-3.5-turbo-0125", "choices": [ { "index": 0, "message": { "role": "assistant", "content": "#IntroductionnWheel, a healthcare technology company, has developed a new AI platform to support the growing trend of virtual care in the healthcare industry. This platform aims to revolutionize telehealth services and enhance patient care.nn#Features of Wheel's AI PlatformnThe AI platform from Wheel offers various features to support virtual care, including advanced data analytics, personalized patient engagement tools, and seamless integration with existing healthcare systems.nn#Benefits of Using Wheel's AI PlatformnHealthcare providers can benefit from using Wheel's AI platform by improving patient outcomes, increasing efficiency in delivering care, and reducing healthcare costs. This platform also enables better communication and collaboration among healthcare teams.nn#Integration with Telehealth ServicesnWheel's AI platform seamlessly integrates with telehealth services, allowing healthcare" }, "logprobs": null, "finish_reason": "length" } ], "usage": { "prompt_tokens": 177, "completion_tokens": 150, "total_tokens": 327 }, "system_fingerprint": null } Prompt Tokens - 177 |
Done Health CEO and clinical president arrested for alleged $100M schemeMobiHealthNews - (Friday June 14, 2024) - Frequent Updates/ MobiHealthNews | |
![]() | The founder and CEO and the clinical president of digital healthcare company Done Health, which provides psychiatric chronic care management, were arrested Thursday for allegedly participating in a scheme to distribute Adderall online, obstructing... #DoneHealthCEOArrested #Alleged100MScheme #HealthcareFraud #ImpactonPatients #LessonsLearnedDone Health CEO and clinical president were arrested for an alleged $100M scheme involving healthcare fraud. The scheme has raised concerns about the impact on patients and highlighted important lessons for healthcare IT professionals to consider. As a healthcare IT expert, write a 50-80 extractive summarization summary for social media platforms, that is focused, accurate, and strictly reflects the content based on a blog post from the given URL. The summary should include all headings from the blog post, with inline hashtags for each heading. When including the inline hashtags, use specific hashtags related to the headings rather than generic healthcare or technology hashtags. If the headings in the blog post are too long or unclear, feel free to rephrase them into shorter, clearer versions that still convey the main idea. The target audience is other healthcare IT professionals.Following is the title and url. Done Health CEO and clinical president arrested for alleged $100M scheme https://www.mobihealthnews.com/news/done-health-ceo-and-clinical-president-arrested-alleged-100m-scheme { "id": "chatcmpl-9a6kseKDZPjw6IAaNVq5BF6QLtV1H", "object": "chat.completion", "created": 1718392802, "model": "gpt-3.5-turbo-0125", "choices": [ { "index": 0, "message": { "role": "assistant", "content": "#DoneHealthCEOArrestedn#Alleged100MSchemen#HealthcareFraudn#ImpactonPatientsn#LessonsLearnednnDone Health CEO and clinical president were arrested for an alleged $100M scheme involving healthcare fraud. The scheme has raised concerns about the impact on patients and highlighted important lessons for healthcare IT professionals to consider." }, "logprobs": null, "finish_reason": "stop" } ], "usage": { "prompt_tokens": 180, "completion_tokens": 73, "total_tokens": 253 }, "system_fingerprint": null } Prompt Tokens - 180 |
Better Health Raises $14M To Reach More Patients with Chronic Conditions – MedCity NewsMedCity News - (Friday June 14, 2024) - Frequent Updates/ MedCity News | |
![]() | Better Health, a platform for patients with chronic conditions, secured $14 million in strategic funding, which it will use to expand to more patients, the company announced Thursday.San Francisco-based Better Health supports patients with... #Funding: Better Health secures $14M in funding to expand services for patients with chronic conditions. #HealthcareFunding#Mission: The company's mission is to reach more patients with chronic conditions and improve their health outcomes. #ChronicCare#Expansion: Better Health plans to use the funding to expand its reach and offer more services to patients in need. #HealthTechExpansion#Technology: The company utilizes advanced technology to provide personalized care and support to patients with chronic conditions. #HealthIT#Impact: The funding will enable Better Health to make a greater impact on the lives of patients by improving their overall health and well-being. #PatientOutcomes#Future: With this funding, Better Health is poised As a healthcare IT expert, write a 50-80 extractive summarization summary for social media platforms, that is focused, accurate, and strictly reflects the content based on a blog post from the given URL. The summary should include all headings from the blog post, with inline hashtags for each heading. When including the inline hashtags, use specific hashtags related to the headings rather than generic healthcare or technology hashtags. If the headings in the blog post are too long or unclear, feel free to rephrase them into shorter, clearer versions that still convey the main idea. The target audience is other healthcare IT professionals.Following is the title and url. Better Health Raises $14M To Reach More Patients with Chronic Conditions – MedCity News https://medcitynews.com/2024/06/funding-chronic-conditions/ { "id": "chatcmpl-9a68DOqrq6oPxU90G6dDxOVeDfNvP", "object": "chat.completion", "created": 1718390405, "model": "gpt-3.5-turbo-0125", "choices": [ { "index": 0, "message": { "role": "assistant", "content": "#Funding:nBetter Health secures $14M in funding to expand services for patients with chronic conditions. #HealthcareFundingnn#Mission:nThe company's mission is to reach more patients with chronic conditions and improve their health outcomes. #ChronicCarenn#Expansion:nBetter Health plans to use the funding to expand its reach and offer more services to patients in need. #HealthTechExpansionnn#Technology:nThe company utilizes advanced technology to provide personalized care and support to patients with chronic conditions. #HealthITnn#Impact:nThe funding will enable Better Health to make a greater impact on the lives of patients by improving their overall health and well-being. #PatientOutcomesnn#Future:nWith this funding, Better Health is poised" }, "logprobs": null, "finish_reason": "length" } ], "usage": { "prompt_tokens": 176, "completion_tokens": 150, "total_tokens": 326 }, "system_fingerprint": null } Prompt Tokens - 176 |












