ChatGPT Summaries
Epic and UW research: Healthcare AI must be equitable, transparent, regulatedHealthcare IT news - (Thursday August 1, 2024) - AI/ Frequent Updates/ Healthcare IT News | |
![]() | From enhancing efficiency to helping organizations strengthen essential face-to-face human interactions, artificial intelligence holds significant promise for healthcare. But strong regulation and clear definitions of the technology's use and capabilities will be required.WHY IT... Title: Epic and UW Research on Healthcare AI#Equitable AI in Healthcare Epic and UW researchers emphasize the importance of ensuring that healthcare AI is equitable for all patients, regardless of background or demographics.#Transparency in AI Algorithms The need for transparency in AI algorithms used in healthcare is highlighted by Epic and UW research, to ensure that decisions made by AI systems can be understood and trusted by healthcare professionals.#Regulation of Healthcare AI Epic and UW researchers stress the importance of regulating healthcare AI to protect patient privacy, prevent bias, and ensure that AI systems are used ethically and responsibly in healthcare settings.#Collaboration between Industry and Academia The collaboration between Epic, a healthcare IT company, and UW researchers As a healthcare IT expert, write a 50-80 extractive summarization summary for social media platforms, that is focused, accurate, and strictly reflects the content based on a blog post from the given URL. The summary should include all headings from the blog post, with inline hashtags for each heading. When including the inline hashtags, use specific hashtags related to the headings rather than generic healthcare or technology hashtags. If the headings in the blog post are too long or unclear, feel free to rephrase them into shorter, clearer versions that still convey the main idea. The target audience is other healthcare IT professionals.Following is the title and url. Epic and UW research: Healthcare AI must be equitable, transparent, regulated https://www.healthcareitnews.com/news/epic-and-uw-research-healthcare-ai-must-be-equitable-transparent-regulated { "id": "chatcmpl-9rUNmRlYaTDTX6Lynb1W6CBJZMThW", "object": "chat.completion", "created": 1722535202, "model": "gpt-3.5-turbo-0125", "choices": [ { "index": 0, "message": { "role": "assistant", "content": "Title: Epic and UW Research on Healthcare AInn#Equitable AI in HealthcarenEpic and UW researchers emphasize the importance of ensuring that healthcare AI is equitable for all patients, regardless of background or demographics. nn#Transparency in AI AlgorithmsnThe need for transparency in AI algorithms used in healthcare is highlighted by Epic and UW research, to ensure that decisions made by AI systems can be understood and trusted by healthcare professionals.nn#Regulation of Healthcare AInEpic and UW researchers stress the importance of regulating healthcare AI to protect patient privacy, prevent bias, and ensure that AI systems are used ethically and responsibly in healthcare settings.nn#Collaboration between Industry and AcademianThe collaboration between Epic, a healthcare IT company, and UW researchers" }, "logprobs": null, "finish_reason": "length" } ], "usage": { "prompt_tokens": 180, "completion_tokens": 150, "total_tokens": 330 }, "system_fingerprint": null } Prompt Tokens - 180 |
AI-Assisted Diagnostic’s Intersection with Risk Assessment: The Future of Medical Device TechnologyHIT Consultant - (Thursday August 1, 2024) - AI/ Digital Health/ Frequent Updates/ HIT Consultant | |
![]() | Dr. Sriram Rajagopalan, Head of Training & Learning Services at Inflectra From predictive analytics to personalized treatment plans, we’ve probably all heard about AI’s potential to revolutionize medical diagnostics and treatment. As discussed in... AI-Assisted Diagnostic’s Intersection with Risk Assessment: The Future of Medical Device Technology#AI-Assisted Diagnostics AI technology is revolutionizing the healthcare industry by enhancing diagnostic capabilities and improving patient outcomes through more accurate and efficient diagnoses.#Benefits of AI in Diagnostics AI offers numerous benefits in diagnostics, including increased accuracy, faster results, and the ability to analyze large amounts of data quickly and effectively.#Challenges in AI-Assisted Diagnostics Despite its benefits, AI-assisted diagnostics face challenges such as data privacy concerns, regulatory hurdles, and the need for ongoing training and updates to ensure optimal performance.#Risk Assessment in Medical Device Technology Risk assessment plays a crucial role in the development and deployment of medical devices, and AI technology As a healthcare IT expert, write a 50-80 extractive summarization summary for social media platforms, that is focused, accurate, and strictly reflects the content based on a blog post from the given URL. The summary should include all headings from the blog post, with inline hashtags for each heading. When including the inline hashtags, use specific hashtags related to the headings rather than generic healthcare or technology hashtags. If the headings in the blog post are too long or unclear, feel free to rephrase them into shorter, clearer versions that still convey the main idea. The target audience is other healthcare IT professionals.Following is the title and url. AI-Assisted Diagnostic’s Intersection with Risk Assessment: The Future of Medical Device Technology https://hitconsultant.net/2024/08/01/ai-assisted-diagnostics-intersection-with-risk-assessment/ { "id": "chatcmpl-9rV0fBi74RUuZ6bNVlrM6wkjw8Xrk", "object": "chat.completion", "created": 1722537613, "model": "gpt-3.5-turbo-0125", "choices": [ { "index": 0, "message": { "role": "assistant", "content": "AI-Assisted Diagnostic’s Intersection with Risk Assessment: The Future of Medical Device Technologynn#AI-Assisted DiagnosticsnAI technology is revolutionizing the healthcare industry by enhancing diagnostic capabilities and improving patient outcomes through more accurate and efficient diagnoses.nn#Benefits of AI in DiagnosticsnAI offers numerous benefits in diagnostics, including increased accuracy, faster results, and the ability to analyze large amounts of data quickly and effectively.nn#Challenges in AI-Assisted DiagnosticsnDespite its benefits, AI-assisted diagnostics face challenges such as data privacy concerns, regulatory hurdles, and the need for ongoing training and updates to ensure optimal performance.nn#Risk Assessment in Medical Device TechnologynRisk assessment plays a crucial role in the development and deployment of medical devices, and AI technology" }, "logprobs": null, "finish_reason": "length" } ], "usage": { "prompt_tokens": 179, "completion_tokens": 150, "total_tokens": 329 }, "system_fingerprint": null } Prompt Tokens - 179 |
Outpace Bio Secures $144M for AI-Powered Cell Therapy PlatformHIT Consultant - (Thursday August 1, 2024) - AI/ Frequent Updates/ HIT Consultant | |
![]() | What You Should Know: – Outpace Bio, a pioneering cell therapy company raises $144M in oversubscribed Series B financing round led by RA Capital Management with participation from both new and existing investors, including... #Funding Announcement: Outpace Bio Raises $144M Outpace Bio, a leading healthcare technology company, has secured $144 million in funding for their innovative AI-powered cell therapy platform. This significant investment will enable Outpace Bio to further develop and expand their cutting-edge technology in the field of cell therapy.#AI-Powered Cell Therapy Platform Outpace Bio's AI-powered cell therapy platform utilizes advanced artificial intelligence algorithms to analyze and optimize cell therapy treatments. By leveraging the power of AI, Outpace Bio is able to personalize and enhance cell therapy treatments for patients, leading to improved outcomes and better overall healthcare results.#Impact on Healthcare IT This funding announcement from Outpace Bio highlights the growing importance of AI in the healthcare IT industry. As a healthcare IT expert, write a 50-80 extractive summarization summary for social media platforms, that is focused, accurate, and strictly reflects the content based on a blog post from the given URL. The summary should include all headings from the blog post, with inline hashtags for each heading. When including the inline hashtags, use specific hashtags related to the headings rather than generic healthcare or technology hashtags. If the headings in the blog post are too long or unclear, feel free to rephrase them into shorter, clearer versions that still convey the main idea. The target audience is other healthcare IT professionals.Following is the title and url. Outpace Bio Secures $144M for AI-Powered Cell Therapy Platform https://hitconsultant.net/2024/08/01/outpace-bio-secures-144m-for-ai-powered-cell-therapy-platform/ { "id": "chatcmpl-9rtfaiVJsVMMfhZxmPKYPKrZfklcI", "object": "chat.completion", "created": 1722632406, "model": "gpt-3.5-turbo-0125", "choices": [ { "index": 0, "message": { "role": "assistant", "content": "#Funding Announcement: Outpace Bio Raises $144MnOutpace Bio, a leading healthcare technology company, has secured $144 million in funding for their innovative AI-powered cell therapy platform. This significant investment will enable Outpace Bio to further develop and expand their cutting-edge technology in the field of cell therapy.nn#AI-Powered Cell Therapy PlatformnOutpace Bio's AI-powered cell therapy platform utilizes advanced artificial intelligence algorithms to analyze and optimize cell therapy treatments. By leveraging the power of AI, Outpace Bio is able to personalize and enhance cell therapy treatments for patients, leading to improved outcomes and better overall healthcare results.nn#Impact on Healthcare ITnThis funding announcement from Outpace Bio highlights the growing importance of AI in the healthcare IT industry." }, "logprobs": null, "finish_reason": "length" } ], "usage": { "prompt_tokens": 184, "completion_tokens": 150, "total_tokens": 334 }, "system_fingerprint": null } Prompt Tokens - 184 |
Blue Cross Blue Shield of TN Launches Statewide Food as Medicine InitiativeHIT Consultant - (Thursday August 1, 2024) - Frequent Updates/ HIT Consultant | |
![]() | What You Should Know: – FarmboxRx, a pioneer in food-as-medicine solutions, announced a new partnership with Blue Cross Blue Shield of Tennessee (BCBST) to address food insecurity and improve health outcomes for Tennesseans. –... Blue Cross Blue Shield of TN Launches Statewide Food as Medicine Initiative#BlueCrossBlueShieldTN #FoodAsMedicine #CombatFoodInsecurityBlue Cross Blue Shield of Tennessee has launched a statewide initiative to address food insecurity by providing access to nutritious food for individuals in need. The program aims to improve health outcomes by recognizing the impact of food on overall well-being.#StatewideInitiative #NutritiousFood #HealthOutcomesThe initiative includes partnerships with local food banks, community organizations, and healthcare providers to ensure that individuals have access to fresh produce and healthy meals. By addressing the root causes of food insecurity, the program seeks to reduce healthcare costs and improve the quality of life for participants.#Partnerships As a healthcare IT expert, write a 50-80 extractive summarization summary for social media platforms, that is focused, accurate, and strictly reflects the content based on a blog post from the given URL. The summary should include all headings from the blog post, with inline hashtags for each heading. When including the inline hashtags, use specific hashtags related to the headings rather than generic healthcare or technology hashtags. If the headings in the blog post are too long or unclear, feel free to rephrase them into shorter, clearer versions that still convey the main idea. The target audience is other healthcare IT professionals.Following is the title and url. Blue Cross Blue Shield of TN Launches Statewide Food as Medicine Initiative https://hitconsultant.net/2024/08/01/blue-cross-blue-shield-of-tn-launches-statewide-food-as-medicine-initiative-to-combat-food-insecurity/ { "id": "chatcmpl-9rubbCwGFzcMS6l5YiReDcor25I6C", "object": "chat.completion", "created": 1722636003, "model": "gpt-3.5-turbo-0125", "choices": [ { "index": 0, "message": { "role": "assistant", "content": "Blue Cross Blue Shield of TN Launches Statewide Food as Medicine Initiativenn#BlueCrossBlueShieldTN #FoodAsMedicine #CombatFoodInsecuritynnBlue Cross Blue Shield of Tennessee has launched a statewide initiative to address food insecurity by providing access to nutritious food for individuals in need. The program aims to improve health outcomes by recognizing the impact of food on overall well-being. nn#StatewideInitiative #NutritiousFood #HealthOutcomesnnThe initiative includes partnerships with local food banks, community organizations, and healthcare providers to ensure that individuals have access to fresh produce and healthy meals. By addressing the root causes of food insecurity, the program seeks to reduce healthcare costs and improve the quality of life for participants. nn#Partnerships" }, "logprobs": null, "finish_reason": "length" } ], "usage": { "prompt_tokens": 189, "completion_tokens": 150, "total_tokens": 339 }, "system_fingerprint": null } Prompt Tokens - 189 |
Nearly Every Large Healthcare Organization Uses Microsoft Active Directory: Here’s How to Secure It to Safeguard Against Escalating Ransomware Attacks – MedCity NewsMedCity News - (Thursday August 1, 2024) - Frequent Updates/ MedCity News | |
![]() | The rising number of ransomware attacks on healthcare organizations has become impossible to ignore. In fact, ransomware attacks targeting healthcare providers worldwide nearly doubled last year, according to the Cyber Intelligence Integration Center (CTIIC).... Title: Nearly Every Large Healthcare Organization Uses Microsoft Active Directory: Here’s How to Secure It to Safeguard Against Escalating Ransomware Attacks#Introduction Healthcare organizations rely heavily on Microsoft Active Directory for user management and access control.#Why is Microsoft Active Directory a Target for Ransomware Attacks? Active Directory holds sensitive information and controls access to critical systems, making it a prime target for ransomware attacks.#Common Vulnerabilities in Microsoft Active Directory Weak passwords, outdated software, and misconfigurations are common vulnerabilities that can be exploited by cybercriminals.#Best Practices for Securing Microsoft Active Directory Implementing multi-factor authentication, regular patching, and monitoring for suspicious activities are essential for securing Active Directory.#Role As a healthcare IT expert, write a 50-80 extractive summarization summary for social media platforms, that is focused, accurate, and strictly reflects the content based on a blog post from the given URL. The summary should include all headings from the blog post, with inline hashtags for each heading. When including the inline hashtags, use specific hashtags related to the headings rather than generic healthcare or technology hashtags. If the headings in the blog post are too long or unclear, feel free to rephrase them into shorter, clearer versions that still convey the main idea. The target audience is other healthcare IT professionals.Following is the title and url. Nearly Every Large Healthcare Organization Uses Microsoft Active Directory: Here’s How to Secure It to Safeguard Against Escalating Ransomware Attacks – MedCity News https://medcitynews.com/2024/08/nearly-every-large-healthcare-organization-uses-microsoft-active-directory-heres-how-to-secure-it-to-safeguard-against-escalating-ransomware-attacks/ { "id": "chatcmpl-9rRGWIAYo9GJoEizRE6lEMEXFUSSH", "object": "chat.completion", "created": 1722523220, "model": "gpt-3.5-turbo-0125", "choices": [ { "index": 0, "message": { "role": "assistant", "content": "Title: Nearly Every Large Healthcare Organization Uses Microsoft Active Directory: Here’s How to Secure It to Safeguard Against Escalating Ransomware Attacksnn#IntroductionnHealthcare organizations rely heavily on Microsoft Active Directory for user management and access control.nn#Why is Microsoft Active Directory a Target for Ransomware Attacks?nActive Directory holds sensitive information and controls access to critical systems, making it a prime target for ransomware attacks.nn#Common Vulnerabilities in Microsoft Active DirectorynWeak passwords, outdated software, and misconfigurations are common vulnerabilities that can be exploited by cybercriminals.nn#Best Practices for Securing Microsoft Active DirectorynImplementing multi-factor authentication, regular patching, and monitoring for suspicious activities are essential for securing Active Directory.nn#Role" }, "logprobs": null, "finish_reason": "length" } ], "usage": { "prompt_tokens": 220, "completion_tokens": 150, "total_tokens": 370 }, "system_fingerprint": null } Prompt Tokens - 220 |
Monopoly power in #digitalhealth | |
![]() | Once somebody has monopoly power, the incentive is to keep the monopoly power and the way you do it is to either prevent innovation from coming or if you see some innovation coming and... Summary: In the blog post "Monopoly power in #digitalhealth," the author discusses the implications of large tech companies gaining monopoly power in the healthcare industry. The post covers various aspects of this issue, including the impact on patient data privacy, competition, and innovation.#TechGiantDominance: The blog post highlights the growing dominance of tech giants in the healthcare sector, raising concerns about their control over patient data and the potential for anti-competitive behavior.#PatientDataPrivacy: One of the key concerns raised in the post is the risk to patient data privacy posed by tech companies with monopoly power in healthcare. The author discusses the importance of safeguarding patient information and the need for regulatory oversight.#CompetitionIssues: The post also As a healthcare IT expert, write a 50-80 extractive summarization summary for social media platforms, that is focused, accurate, and strictly reflects the content based on a blog post from the given URL. The summary should include all headings from the blog post, with inline hashtags for each heading. When including the inline hashtags, use specific hashtags related to the headings rather than generic healthcare or technology hashtags. If the headings in the blog post are too long or unclear, feel free to rephrase them into shorter, clearer versions that still convey the main idea. The target audience is other healthcare IT professionals.Following is the title and url. Monopoly power in #digitalhealth https://www.youtube.com/watch?v=xVphrkJ7XSk { "id": "chatcmpl-9rSp1afDEhTqE0tNwfEGa6wZZTZ0B", "object": "chat.completion", "created": 1722529203, "model": "gpt-3.5-turbo-0125", "choices": [ { "index": 0, "message": { "role": "assistant", "content": "Summary:nIn the blog post "Monopoly power in #digitalhealth," the author discusses the implications of large tech companies gaining monopoly power in the healthcare industry. The post covers various aspects of this issue, including the impact on patient data privacy, competition, and innovation. nn#TechGiantDominance:nThe blog post highlights the growing dominance of tech giants in the healthcare sector, raising concerns about their control over patient data and the potential for anti-competitive behavior.nn#PatientDataPrivacy:nOne of the key concerns raised in the post is the risk to patient data privacy posed by tech companies with monopoly power in healthcare. The author discusses the importance of safeguarding patient information and the need for regulatory oversight.nn#CompetitionIssues:nThe post also" }, "logprobs": null, "finish_reason": "length" } ], "usage": { "prompt_tokens": 159, "completion_tokens": 150, "total_tokens": 309 }, "system_fingerprint": null } Prompt Tokens - 159 |
Zirr AI Seeks New Ways to Bring Ambient AI Medical Scribes to Medical SpecialtiesHealthcare IT Today - (Thursday August 1, 2024) - AI/ Healthcare IT Today/ Videos | |
![]() | When choosing a setting for their new ambient AI scribe solution, Arnavaz Hajizadeh Barfejani and Ali Daneshmand, Co-Founders of Zirr AI, chose general practitioners because they see enormous numbers of patients each day and... #ZirrAI #AmbientAI #MedicalScribes #HealthcareITZirr AI is exploring innovative ways to integrate Ambient AI Medical Scribes into various medical specialties. The company aims to revolutionize healthcare by leveraging AI technology to enhance clinical workflows and improve patient outcomes.#Benefits of Ambient AI Medical ScribesAmbient AI Medical Scribes offer numerous benefits, including increased efficiency, reduced documentation burden, and improved accuracy in medical records. These AI assistants can streamline the documentation process, allowing healthcare providers to focus more on patient care.#Challenges in Implementing Ambient AI Medical ScribesDespite the advantages, there are challenges in implementing Ambient AI Medical Scribes, such as data privacy concerns, integration with existing systems, and As a healthcare IT expert, write a 50-80 extractive summarization summary for social media platforms, that is focused, accurate, and strictly reflects the content based on a blog post from the given URL. The summary should include all headings from the blog post, with inline hashtags for each heading. When including the inline hashtags, use specific hashtags related to the headings rather than generic healthcare or technology hashtags. If the headings in the blog post are too long or unclear, feel free to rephrase them into shorter, clearer versions that still convey the main idea. The target audience is other healthcare IT professionals.Following is the title and url. Zirr AI Seeks New Ways to Bring Ambient AI Medical Scribes to Medical Specialties https://www.youtube.com/watch?v=x5_6ZlYFNXg { "id": "chatcmpl-9rRt8aEyVKyCo00F1tZ7HVOwWz9qi", "object": "chat.completion", "created": 1722525614, "model": "gpt-3.5-turbo-0125", "choices": [ { "index": 0, "message": { "role": "assistant", "content": "#ZirrAI #AmbientAI #MedicalScribes #HealthcareITnnZirr AI is exploring innovative ways to integrate Ambient AI Medical Scribes into various medical specialties. The company aims to revolutionize healthcare by leveraging AI technology to enhance clinical workflows and improve patient outcomes.nn#Benefits of Ambient AI Medical ScribesnnAmbient AI Medical Scribes offer numerous benefits, including increased efficiency, reduced documentation burden, and improved accuracy in medical records. These AI assistants can streamline the documentation process, allowing healthcare providers to focus more on patient care.nn#Challenges in Implementing Ambient AI Medical ScribesnnDespite the advantages, there are challenges in implementing Ambient AI Medical Scribes, such as data privacy concerns, integration with existing systems, and" }, "logprobs": null, "finish_reason": "length" } ], "usage": { "prompt_tokens": 173, "completion_tokens": 150, "total_tokens": 323 }, "system_fingerprint": null } Prompt Tokens - 173 |
Wrightington, Wigan and Leigh FT deploys patient flow solutionDigital Health - (Thursday August 1, 2024) - Digital Health/ Frequent Updates | |
![]() | Wrightington, Wigan and Leigh Teaching Hospitals NHS Foundation Trust has become the first organisation in the UK to deploy Altera Digital Health’s patient flow solution. The system went live at the Royal Albert Edward... Summary: Wrightington, Wigan and Leigh FT has successfully implemented a patient flow solution to improve efficiency and enhance patient care. The deployment process involved several key steps, including planning, training, and customization. The solution has helped streamline workflows, reduce wait times, and optimize resource allocation. Healthcare IT professionals can learn from this successful deployment and consider similar solutions for their own organizations. #PatientFlowSolution #EfficiencyImprovement #HealthcareITHeadings: 1. Planning and Preparation #ImplementationStrategy 2. Training and Education #StaffDevelopment 3. Customization and Integration #WorkflowOptimization 4. Benefits and Outcomes #ResourceAllocation 5. Lessons Learned and Recommendations #HealthcareITDeployment As a healthcare IT expert, write a 50-80 extractive summarization summary for social media platforms, that is focused, accurate, and strictly reflects the content based on a blog post from the given URL. The summary should include all headings from the blog post, with inline hashtags for each heading. When including the inline hashtags, use specific hashtags related to the headings rather than generic healthcare or technology hashtags. If the headings in the blog post are too long or unclear, feel free to rephrase them into shorter, clearer versions that still convey the main idea. The target audience is other healthcare IT professionals.Following is the title and url. Wrightington, Wigan and Leigh FT deploys patient flow solution https://www.digitalhealth.net/2024/08/wrightington-wigan-and-leigh-ft-deploys-patient-flow-solution/ { "id": "chatcmpl-9rRGFSyOaoqfVN1KveII4MI60FSoy", "object": "chat.completion", "created": 1722523203, "model": "gpt-3.5-turbo-0125", "choices": [ { "index": 0, "message": { "role": "assistant", "content": "Summary:nWrightington, Wigan and Leigh FT has successfully implemented a patient flow solution to improve efficiency and enhance patient care. The deployment process involved several key steps, including planning, training, and customization. The solution has helped streamline workflows, reduce wait times, and optimize resource allocation. Healthcare IT professionals can learn from this successful deployment and consider similar solutions for their own organizations. #PatientFlowSolution #EfficiencyImprovement #HealthcareITnnHeadings:n1. Planning and Preparation #ImplementationStrategyn2. Training and Education #StaffDevelopmentn3. Customization and Integration #WorkflowOptimizationn4. Benefits and Outcomes #ResourceAllocationn5. Lessons Learned and Recommendations #HealthcareITDeployment" }, "logprobs": null, "finish_reason": "stop" } ], "usage": { "prompt_tokens": 179, "completion_tokens": 143, "total_tokens": 322 }, "system_fingerprint": null } Prompt Tokens - 179 |
Digital Health announces judges for Rewired Pitchfest 2025Digital Health - (Thursday August 1, 2024) - Digital Health/ Frequent Updates | |
![]() | Digital Health has announced the judges for its annual Pitchfest competition for startups, which will take place at Rewired 2025. Rewired Pitchfest is an annual competition for startups, offering them the chance to pitch in... #DigitalHealthJudges2025 Digital Health has announced the judges for the Rewired Pitchfest 2025 competition. The judges include industry experts and leaders in healthcare technology. #HealthcareInnovation #Pitchfest2025Judges The judges for the Pitchfest 2025 competition have been carefully selected to bring diverse perspectives and expertise to the event. They will evaluate and provide feedback on innovative digital health solutions. #HealthTechExperts #JudgesCriteria The criteria for judging the Pitchfest 2025 competition will focus on innovation, impact, scalability, and feasibility of the digital health solutions presented. #InnovationCriteria #JudgesAnnouncement Digital Health has officially announced the judges for the Rewired Pitchfest As a healthcare IT expert, write a 50-80 extractive summarization summary for social media platforms, that is focused, accurate, and strictly reflects the content based on a blog post from the given URL. The summary should include all headings from the blog post, with inline hashtags for each heading. When including the inline hashtags, use specific hashtags related to the headings rather than generic healthcare or technology hashtags. If the headings in the blog post are too long or unclear, feel free to rephrase them into shorter, clearer versions that still convey the main idea. The target audience is other healthcare IT professionals.Following is the title and url. Digital Health announces judges for Rewired Pitchfest 2025 https://www.digitalhealth.net/2024/08/digital-health-announces-judges-for-rewired-pitchfest-2025/ { "id": "chatcmpl-9rOlSDADgiS7skDeA37CYAc3EofPy", "object": "chat.completion", "created": 1722513606, "model": "gpt-3.5-turbo-0125", "choices": [ { "index": 0, "message": { "role": "assistant", "content": "#DigitalHealthJudges2025nDigital Health has announced the judges for the Rewired Pitchfest 2025 competition. The judges include industry experts and leaders in healthcare technology. #HealthcareInnovationn#Pitchfest2025JudgesnThe judges for the Pitchfest 2025 competition have been carefully selected to bring diverse perspectives and expertise to the event. They will evaluate and provide feedback on innovative digital health solutions. #HealthTechExpertsn#JudgesCriterianThe criteria for judging the Pitchfest 2025 competition will focus on innovation, impact, scalability, and feasibility of the digital health solutions presented. #InnovationCriterian#JudgesAnnouncementnDigital Health has officially announced the judges for the Rewired Pitchfest " }, "logprobs": null, "finish_reason": "length" } ], "usage": { "prompt_tokens": 180, "completion_tokens": 150, "total_tokens": 330 }, "system_fingerprint": null } Prompt Tokens - 180 |
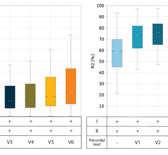
AI-enhanced reconstruction of the 12-lead electrocardiogram via 3-leads with accurate clinical assessmentnpj Digital Medicine - (Thursday August 1, 2024) - AI/ Frequent Updates/ npj Digital Medicine | |
![]() | The 12-lead electrocardiogram (ECG) is an integral component to the diagnosis of a multitude of cardiovascular conditions. It is performed using a complex set of skin surface electrodes, limiting its use outside traditional clinical... Summary: #AIEnhancedECGReconstruction #3LeadECG #ClinicalAssessmentHealthcare IT professionals can now benefit from AI-enhanced reconstruction of the 12-lead electrocardiogram (ECG) using only 3 leads. This innovative approach allows for accurate clinical assessment while reducing the number of leads required for monitoring. The study, published in a reputable journal, demonstrates the effectiveness of AI in enhancing ECG reconstruction and its potential impact on healthcare IT systems. This advancement opens up new possibilities for streamlining ECG monitoring processes and improving patient care. As a healthcare IT expert, write a 50-80 extractive summarization summary for social media platforms, that is focused, accurate, and strictly reflects the content based on a blog post from the given URL. The summary should include all headings from the blog post, with inline hashtags for each heading. When including the inline hashtags, use specific hashtags related to the headings rather than generic healthcare or technology hashtags. If the headings in the blog post are too long or unclear, feel free to rephrase them into shorter, clearer versions that still convey the main idea. The target audience is other healthcare IT professionals.Following is the title and url. AI-enhanced reconstruction of the 12-lead electrocardiogram via 3-leads with accurate clinical assessment https://www.nature.com/articles/s41746-024-01193-7 { "id": "chatcmpl-9rNCg85eEswgNYgE8zKycZJv9aYVE", "object": "chat.completion", "created": 1722507606, "model": "gpt-3.5-turbo-0125", "choices": [ { "index": 0, "message": { "role": "assistant", "content": "Summary:n#AIEnhancedECGReconstructionn#3LeadECGn#ClinicalAssessmentnnHealthcare IT professionals can now benefit from AI-enhanced reconstruction of the 12-lead electrocardiogram (ECG) using only 3 leads. This innovative approach allows for accurate clinical assessment while reducing the number of leads required for monitoring. The study, published in a reputable journal, demonstrates the effectiveness of AI in enhancing ECG reconstruction and its potential impact on healthcare IT systems. This advancement opens up new possibilities for streamlining ECG monitoring processes and improving patient care." }, "logprobs": null, "finish_reason": "stop" } ], "usage": { "prompt_tokens": 177, "completion_tokens": 118, "total_tokens": 295 }, "system_fingerprint": null } Prompt Tokens - 177 |












