AI News
![]() Elevance Health: Long Covid Patients Are at Increased Risk for Cardiovascular Problems, Mortality
MedCity News - (Friday March 10, 2023) Those who experience long Covid are more likely to battle cardiovascular and pulmonary conditions and face mortality, a new study shows. ![]() Consumerism, Customer Experience at Healthcare’s Forefront
MedCity News - (Friday March 10, 2023) Now that 2023 is underway, key trends are emerging that will shape the healthcare landscape against an uncertain economic backdrop and lingering pandemic-related challenges. For payers and providers, inflation and other economic woes are… |
![]() Improving Quality of Care and Organizational Performance with Dynamic Data Access
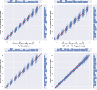
MedCity News - (Friday March 10, 2023) From electronic health records to perioperative information systems to supply chain and finance, health systems are swimming in data – but using that data to improve care quality and performance remains a significant challenge. ![]() Machine learning for accurate estimation of fetal gestational age based on ultrasound images
npj Digital Medicine - (Friday March 10, 2023) Accurate estimation of gestational age is an essential component of good obstetric care and informs clinical decision-making throughout pregnancy. As the date of the last menstrual period is often unknown or uncertain, ultrasound measurement… |
![]() News 3/10/23
HIStalk - (Friday March 10, 2023) Top News Oracle reports Q3 results: revenue up 18%, adjusted EPS $0.68 versus $0.84, beating earnings expectations but falling just short on revenue. ![]() Health Systems Will Seek More More Cross-Market Mergers, But Many Will Fail
MedCity News - (Friday March 10, 2023) Last week, New Mexico-based Presbyterian Healthcare Services and Midwest-based UnityPoint Health signed a letter of intent to merge. This is one of many cross-market mergers that health systems have explored in recent years, and… |
![]() Q&A: Cityblock Health CEO Toyin Ajayi on expanding access for Medicaid patients
MobiHealthNews - (Friday March 10, 2023) The healthcare status quo for Medicaid and other underserved patients frequently leaves them in the lurch, said Cityblock Health CEO and cofounder Dr. Toyin Ajayi.They may have infrequent access to the medical system, hampered… ![]() Accolade Partners With Lyra Health for Employer Mental Health Services
MedCity News - (Friday March 10, 2023) About three in five employees experienced negative impacts from work-related stress in 2021. Yet, half of workers aren’t able to access support, or don’t know of mental health resources within their company. |
![]() EPtalk by Dr. Jayne 3/9/23
HIStalk - (Friday March 10, 2023) I survived my trip to the ATA conference, but I can’t say I’m glad to be home. Leaving beautiful the warm and sunny environment of San Antonio for the rainy chill at home was… ![]() Clarapath Acquires AI-Powered Digital Pathology Platform Crosscope
HIT Consultant - (Thursday March 9, 2023) What You Should Know:– Clarapath, a robotics company aimed at catalyzing change in the way pathology laboratories process human and animal tissue acquires Mountain View, CA-based Crosscope. Financial details of the acquisition were not… |











