AI News
![]() KLAS Reports Published in February 2023
KLAS Research - (Wednesday March 15, 2023) February is always a busy month for KLAS because we publish our Best in KLAS report, and 2023 was no exception. In addition to our flagship report, KLAS published four reports sharing important insights… |
![]() South Korean medical software developer Medical IP moves to AWS cloud
Healthcare IT news - (Wednesday March 15, 2023) Medical imaging solutions company Medical IP from South Korea has entered into a new partnership with Amazon Web Services to bolster its digital transformation.They signed a letter of support where they agreed Medical IP… ![]() PolyU pilots mobile health management app for aged care
MobiHealthNews - (Wednesday March 15, 2023) The Hong Kong Polytechnic University’s School of Nursing, together with a local telecommunications company, has developed a new mobile health management app for the elderly.HOW IT WORKS |
![]() The Future of Heart Health – Continuous Heart Monitoring
MedCity News - (Wednesday March 15, 2023) Heart health issues are intermittent and often asymptomatic, leaving issues undetected with individuals unaware of any underlying problem. This presents itself in places where we least expect them, for example Danish soccer player Christian… ![]() How to Tap Into the Partner Ecosystem in Healthcare to Speed Up Disruption
MedCity News - (Wednesday March 15, 2023) Ask people what is wrong with the healthcare system and you’ll get 10 different answers. But if there’s one thing that everyone can get behind it’s that we need to accelerate innovation and cut… |
![]() CMS Administrator: Telehealth Flexibilities Greatly Expanded Access, But Up To Congress To Extend
MedCity News - (Wednesday March 15, 2023) The telehealth flexibilities allowed during the Covid-19 public health emergency greatly expanded access to healthcare services. But after the public health emergency ends, it’s ultimately up to Congress to further extend these flexibilities, said… |
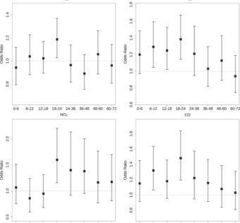
![]() Application of smart devices in investigating the effects of air pollution on atrial fibrillation onset
npj Digital Medicine - (Wednesday March 15, 2023) Few studies have examined the link between short-term exposure to air pollutants and atrial fibrillation (AF) episodes. This study aims to examine the association of hourly criteria air pollutants with AF episodes. We employ… ![]() US Sues Rite Aid for Ignoring Glaring ‘Red Flags’ in Opioid Prescriptions
MedCity News - (Tuesday March 14, 2023) The Department of Justice filed a lawsuit Monday against Rite Aid, accusing the pharmacy chain of filling hundreds of thousands of opioid prescriptions that had “obvious, and often multiple, red flags.” |











