AI News
![]() Suncoast Community Health Centers Saved Money and Reduced Frustration with eClinicalWorks’ Cloud EHR
Healthcare IT Today - (Sunday August 13, 2023) For Suncoast Community Health Centers, moving to a cloud-based EHR was a no-brainer. Not only did is save them money, but it also reduced staff frustration and stress. The move also helped improve the… ![]() Targeted Radiotherapies for Patients with Unmet Needs: A Conversation with Actinium Pharmaceuticals CEO Sandesh Seth
eHealth Radio Network - (Saturday August 12, 2023)
|
![]() Weekly Roundup – August 12, 2023 | Healthcare IT Today
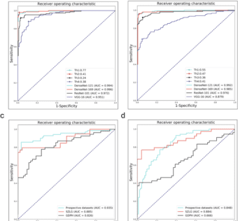
Healthcare IT Today - (Saturday August 12, 2023) Welcome to our Healthcare IT Today Weekly Roundup. Each week, we’ll be providing a look back at the articles we posted and why they’re important to the healthcare IT community. We hope this gives… ![]() A multicenter study on two-stage transfer learning model for duct-dependent CHDs screening in fetal echocardiography
npj Digital Medicine - (Saturday August 12, 2023) Duct-dependent congenital heart diseases (CHDs) are a serious form of CHD with a low detection rate, especially in underdeveloped countries and areas. Although existing studies have developed models for fetal heart structure identification, there… |
![]() Cancer Moonshot: Would It Even Be Possible in Today’s Fee-For-Service World? – MedCity News
MedCity News - (Saturday August 12, 2023) In 2022, President Biden re-ignited the Cancer Moonshot with a call to cut the cancer death rate by half and “improve the experience of people and families living with and surviving cancer.” Both goals are ambitious… ![]() EHR-Safe: generating high-fidelity and privacy-preserving synthetic electronic health records
npj Digital Medicine - (Saturday August 12, 2023) Privacy concerns often arise as the key bottleneck for the sharing of data between consumers and data holders, particularly for sensitive data such as Electronic Health Records (EHR). This impedes the application of data… |
![]() Digital Health App Helps Asthma and Depression, 2 Trials Find – MedCity News
MedCity News - (Saturday August 12, 2023) A new digital health app called juli proved effective in helping patients with asthma or depression, two randomized controlled trials showed. ![]() Exploring the Transformative Power of Artificial Intelligence in Healthcare
Healthcare IT Today - (Saturday August 12, 2023) At the HIMSS 2023 conference we sat down with Ray Gensinger, a healthcare IT expert from Tegria. In this interview, Ray discusses the trend that has captivated the industry—artificial intelligence (AI) and generative AI…. |
![]() Driving Revenue Cycle Transformation and AI Integration
Healthcare IT Today - (Saturday August 12, 2023) At HFMA 2023 Prashant Karamchandani from the Chartis Group unveiled their latest announcement regarding their acquisition of Chi-Matic, a revenue cycle optimization company. Discover how this strategic move enables the creation of a comprehensive… ![]() Healthcare AI Trends to Watch: M&A Exits & Generative AI Use Cases – MedCity News
MedCity News - (Friday August 11, 2023) Artificial intelligence certainly isn’t new to the digital health field, but the sector seems to be in the midst of a new hype cycle. This one is focused on novel technologies like large language… |













